Figure 4
From: Enhancing the magnetic response on polycrystalline nanoframes through mechanical deformation

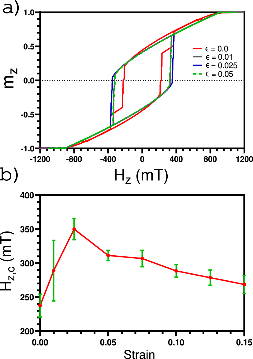
(a) Histeresis curve at different strain. (b) Coercivity as a function of a strain.
From: Enhancing the magnetic response on polycrystalline nanoframes through mechanical deformation

(a) Histeresis curve at different strain. (b) Coercivity as a function of a strain.