Figure 9
From: Craniofacial morphology in Apert syndrome: a systematic review and meta-analysis

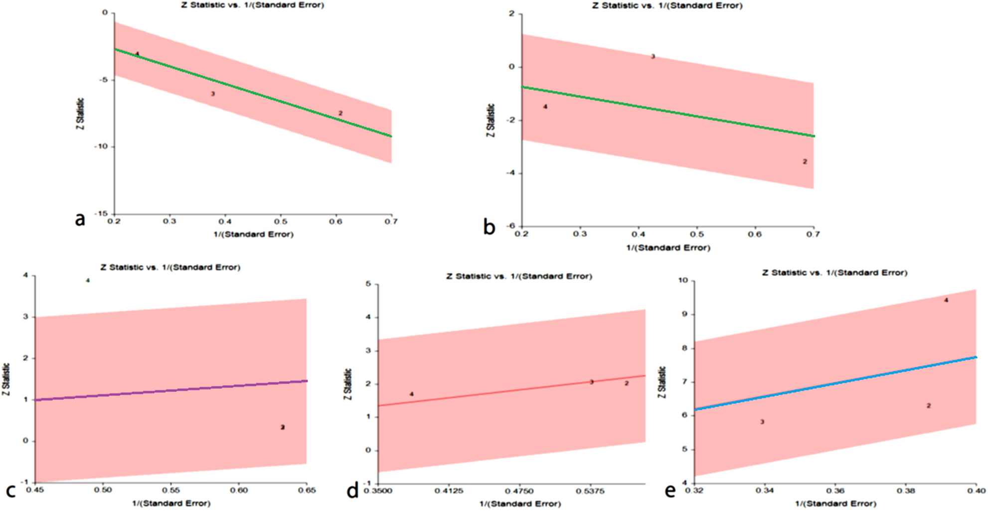
Galbraith plot for the outcome of (a) SNA, (b) SNB, (c) PPR-S-PPL, (d) N-S-PP, and (e) greater wing angle.
From: Craniofacial morphology in Apert syndrome: a systematic review and meta-analysis

Galbraith plot for the outcome of (a) SNA, (b) SNB, (c) PPR-S-PPL, (d) N-S-PP, and (e) greater wing angle.