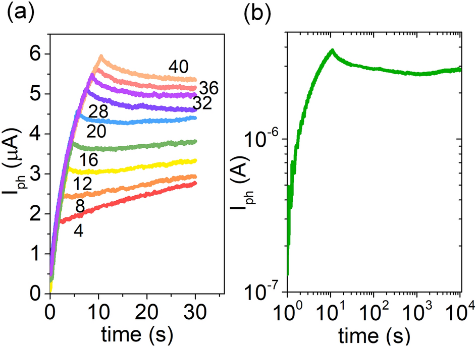
Figure 3
From: Graphene–oxide interface for optoelectronic synapse application

(a) Photocurrent across the top graphene layer as function of time for varying number of incident light pulses, wavelength = 405 nm, power = 100 mW, tON = tOFF = 125 ms. (b) Long term potentiation for 104 s, with 40 light pulses. VG = 80 V, VTGr = 0.1 V.