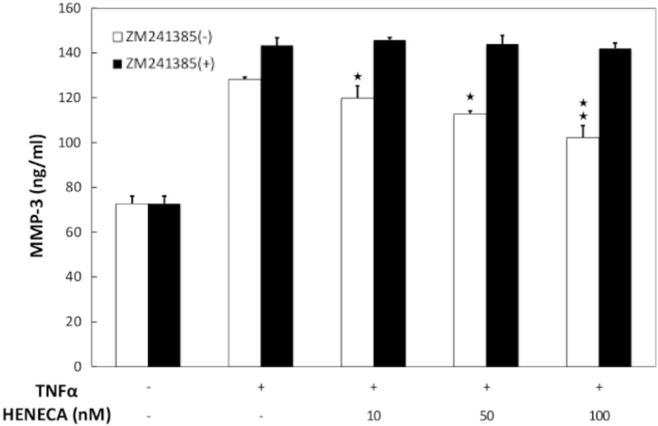
Figure 4

Stimulation of A2A AdoRs reduced the basal and TNFα-induced MMP-3 release by MH7A cells. Activation of A2A receptors suppressed TNFα-induced MMP-3 production by MH7A cells. MH7A cells were incubated for 24 h with TNFα (25 pg/ml) with or without the indicated concentrations of HENECA (white bars). In some experiments, the cells were also pretreated for 30 min with 1 μM of the selective A2A AdoR antagonist ZM241385 (black bars). MMP-3 was then measured in the culture medium. The suppressive effect of HENECA on TNFα-induced MMP-3 production was blocked by ZM241385 pretreatment. Experiments were repeated three times, and data are presented as mean ± SD. ★p < 0.05 and ★★p < 0.01 versus TNFα alone.