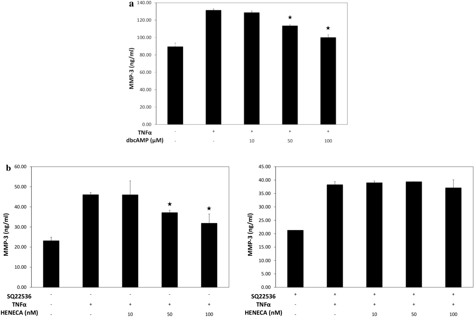
Figure 5

Effect of cAMP analog dbcAMP and the adenylate cyclase inhibitor SQ22536 on TNFα-induced enhancement of MMP-3 production. Activation of cAMP signaling suppressed TNFα-induced MMP-3 production (a). MH7A cells were incubated for 24 h in TNFα (25 pg/ml) with or without the indicated concentration of dbcAMP, and MMP-3 concentration measured in the culture medium. In some experiments, the cells were also pretreated for 30 min with 0.1 mM of the adenylate cyclase inhibitor SQ22536 (b). MMP-3 was then measured in the culture medium. The suppressive effect of HENECA on TNFα-induced MMP-3 production was blocked by SQ22536 pretreatment. Experiments were repeated three times and data are presented as mean ± SD. ★p < 0.01 vs. TNFα alone.