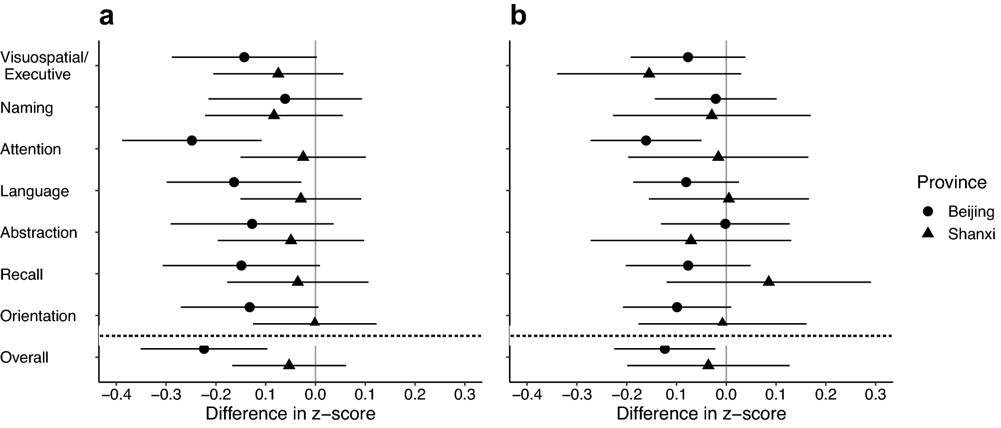
Figure 4

Associations between measures of cognitive function and personal exposures to air pollution in peri-urban northern Chinese adults, stratified by province of residence. (a,b) Analyses were performed based on the data of 355 participants. Results from multivariable regression models with province included as an interaction term with exposure variables. Difference in z-score represents the difference in cognitive score associated with an IQR increase in exposure. Data are presented as point estimates of effects (central dots of the error bar with circle representing Beijing and triangle representing Shanxi) with 95% CIs (corresponding solid lines). The vertical solid line is the reference line. The horizontal dashed line separates estimate for overall cognition from estimates for cognitive domains. (a) Personal exposure to PM2.5 (IQR: 53.2 μg/m3) and MoCA scores. (b) Personal exposure to black carbon (IQR: 0.9 μg/m3) and MoCA scores. For detailed estimates and interaction p-values, please see Supplementary Table 3.