Figure 4
From: Increasing stratification as observed by satellite sea surface salinity measurements

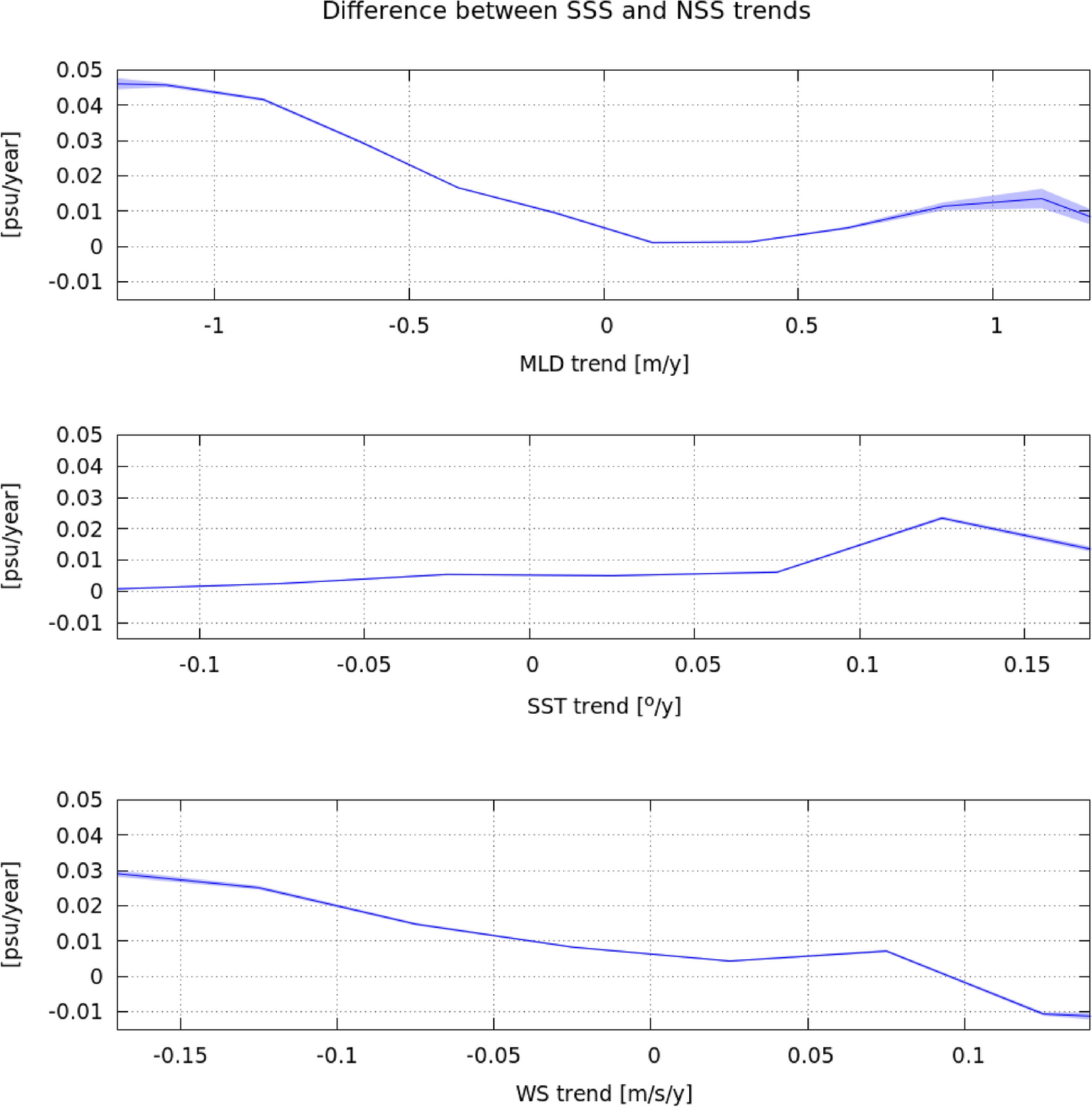
Mean difference between SSS and NSS trends as function of the following trends: mixed layer depth (top panel), sea surface temperature (middle panel), and wind speed (bottom panel). The region considered comprises tropics and middle latitudes (i.e., between \(40^\circ\) N and \(40^\circ\) S) to exclude from this analysis ocean regions that may be affected by sea-ice dynamics.