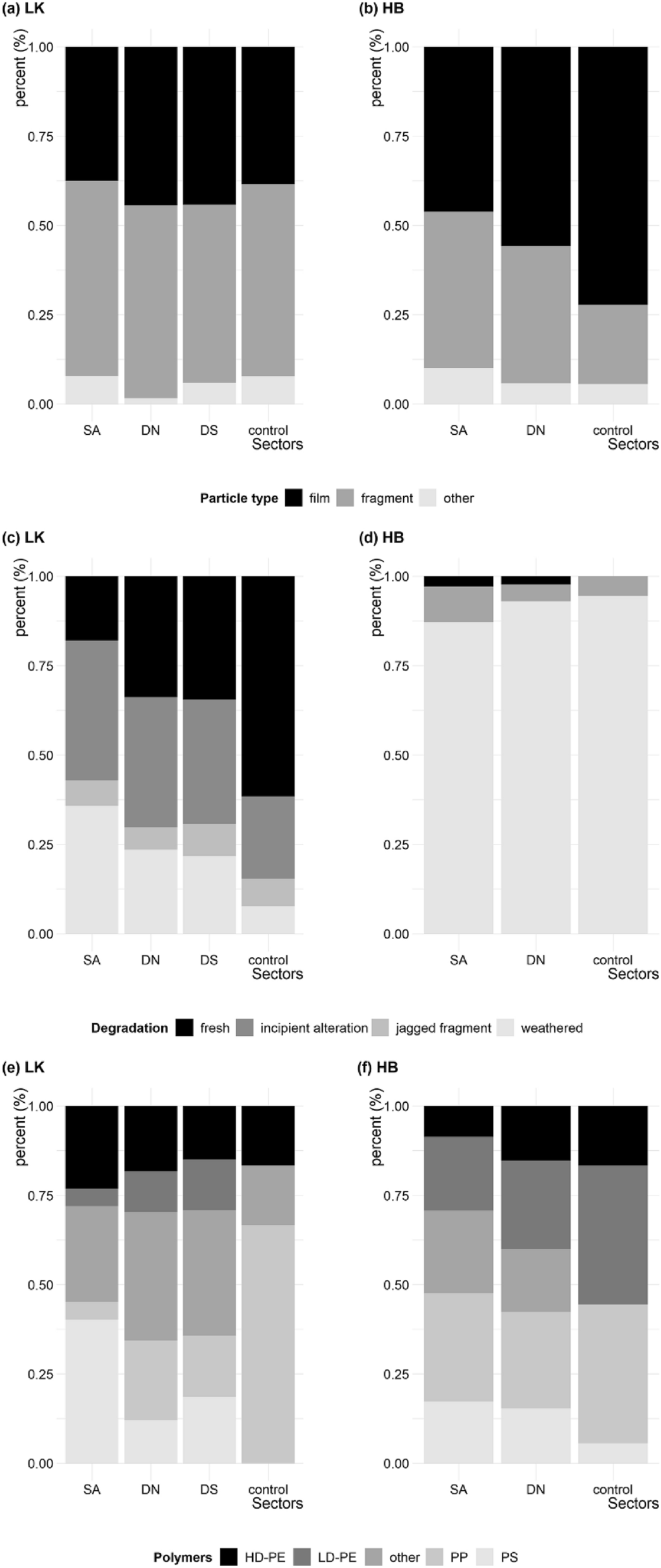
Figure 3

Characteristics of plastic items from soil surfaces in comparison between sector groups: (SA) sludge application sectors, (DN) direct neighbour sectors and (DS) distant sectors including control sectors. Item form composition on field (a) “Lehmkaute” and (b) “Holzbach”, item surface degradation composition on field (c) “Lehmkaute” and (d) “Holzbach”, item identity composition on field (e) “Lehmkaute” and (f) “Holzbach”.