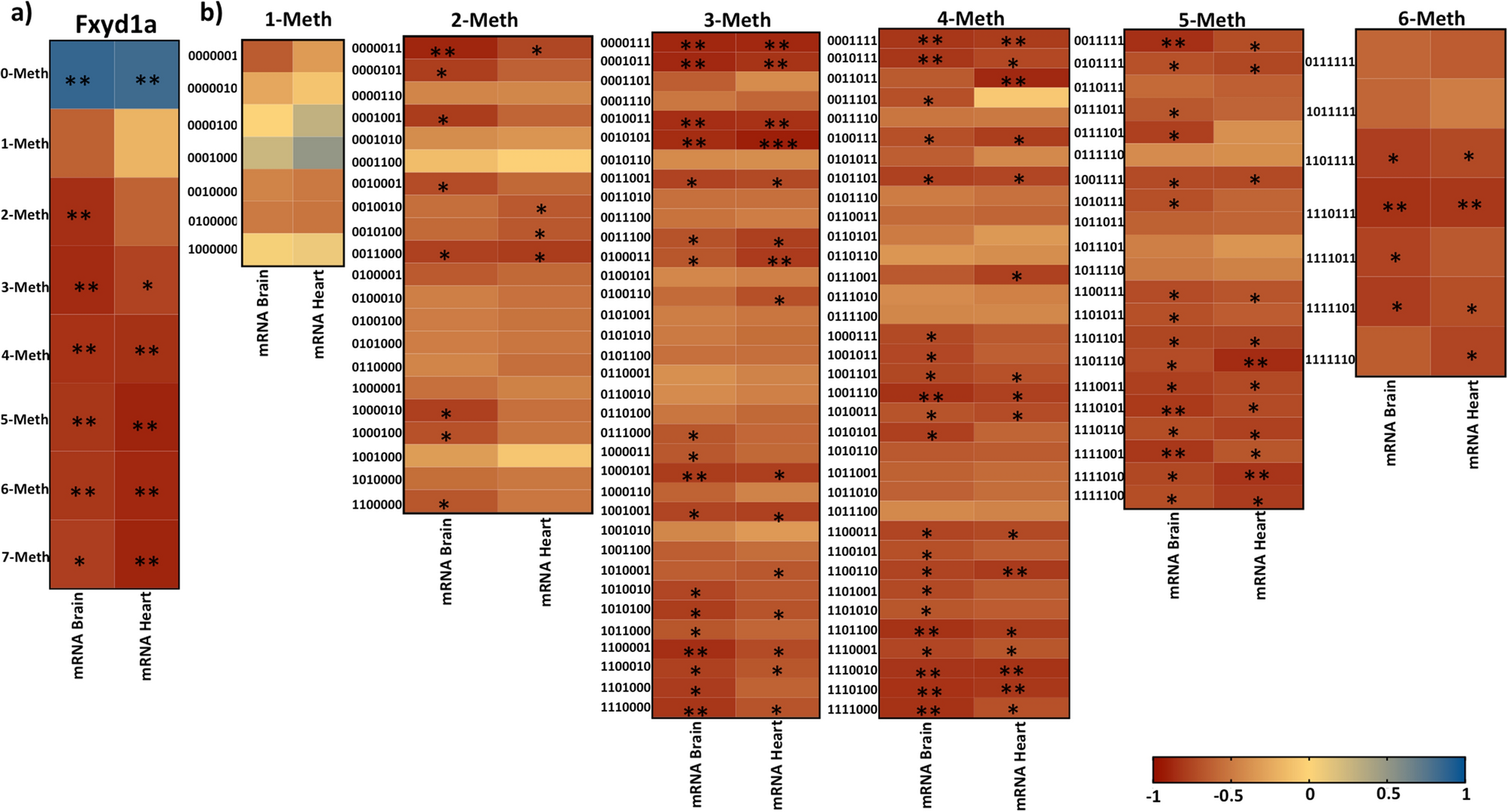
Figure 6
From: Epigenetic remodelling of Fxyd1 promoters in developing heart and brain tissues

Correlation between epiallele classes and epiallele distribution with mRNA expression levels of Fxyd1a in brain and heart. (a) The graph reports r values derived from Pearson correlation between epiallele classes and mRNA expression of Fxyd1a, regardless of developmental time points. (b) Heatmaps of r values derived from Pearson correlation between epialleles and mRNA expression of Fxyd1a in brain and heart. Epialleles are shown as a string of numbers where 1 indicates methylated CpG sites and 0 indicates non-methylated CpG sites. The numbers of the strings correspond to the CpG sites analyzed in the Fxyd1a amplicon (shown in Fig. 2a) in the following order: − 118, − 91, − 47, − 3, + 92, + 112, + 131. The scale color from blue to red indicates a positive to negative correlation (− 1 ≤ r ≤ 1), respectively. Statistical analyses were performed using a Pearson correlation test (*p ≤ 0.05; **p ≤ 0.01).