Figure 7
From: Tmem174, a regulator of phosphate transporter prevents hyperphosphatemia

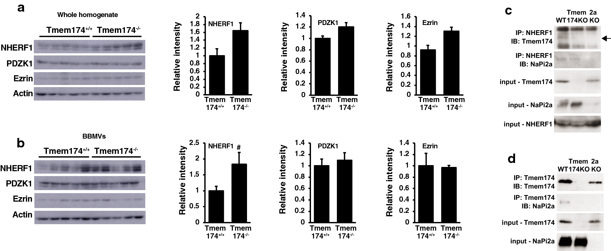
Scaffold protein levels in Tmem174−/− mice. Western blot analysis of scaffold proteins in Tmem174+/+ and Tmem174−/− mice fed normal mouse chow. Each lane was loaded with 20 μg of renal whole homogenate (a) and BBMVs (b). Actin was used as an internal control. Values are mean ± SE. #p < 0.05. Immunoprecipitation of NHERF1 (c) or Tmem174 (d) from renal BBMV lysates of WT, Tmem174-KO and NaPi2a-KO mice fed the normal mouse chow and immunoblotting with anti-Tmem174, -NaPi2a or -NHERF1 antibodies. Arrow indicates the Tmem174. Experiments were repeated at least 3 times.