Figure 4

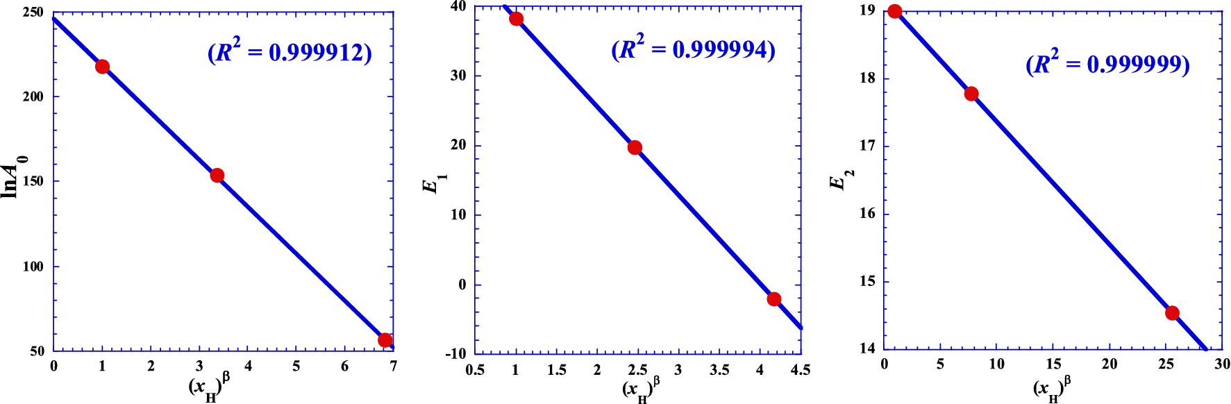
Variation of the three adjustable parameters (Ei and lnA0) of Eq. (5) as a function of the number of hydrogen (xH) of the acid.

Variation of the three adjustable parameters (Ei and lnA0) of Eq. (5) as a function of the number of hydrogen (xH) of the acid.