Figure 4
From: Giant nonlinear self-phase modulation of large-amplitude spin waves in microscopic YIG waveguides

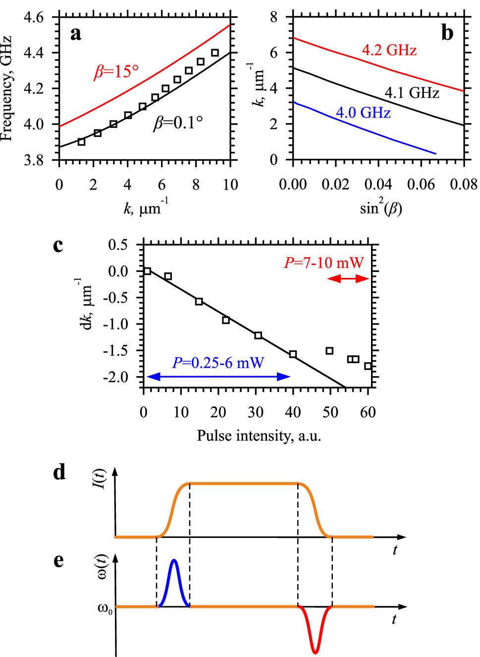
Characterization of the nonlinear spectral shift. (a) Curves show the frequency vs wavenumber dependences for spin waves in the studied waveguide obtained from micromagnetic simulations for two different precession angles β, as labelled. Squares frequency versus wavenumber dependence measured at P = 0.25 mW in the continuous-wave excitation regime. (b) Dependences of the wavenumber on \(\sin^{2} \left( \beta \right)\) obtained from micromagnetic simulations for different frequencies, as labelled. (c) Squares nonlinear reduction of the wavevector dk = kC(P)-k0 corresponding to the initial stage of the pulse propagation as a function of the intensity of the spin-wave pulse detected by BLS. Line linear fit for P = 0.25–6 mW. (d–e) Schematic illustration of the SPM process. (d) Temporal dependence of the wave intensity. (e) The resulting modulation of the instantaneous frequency.