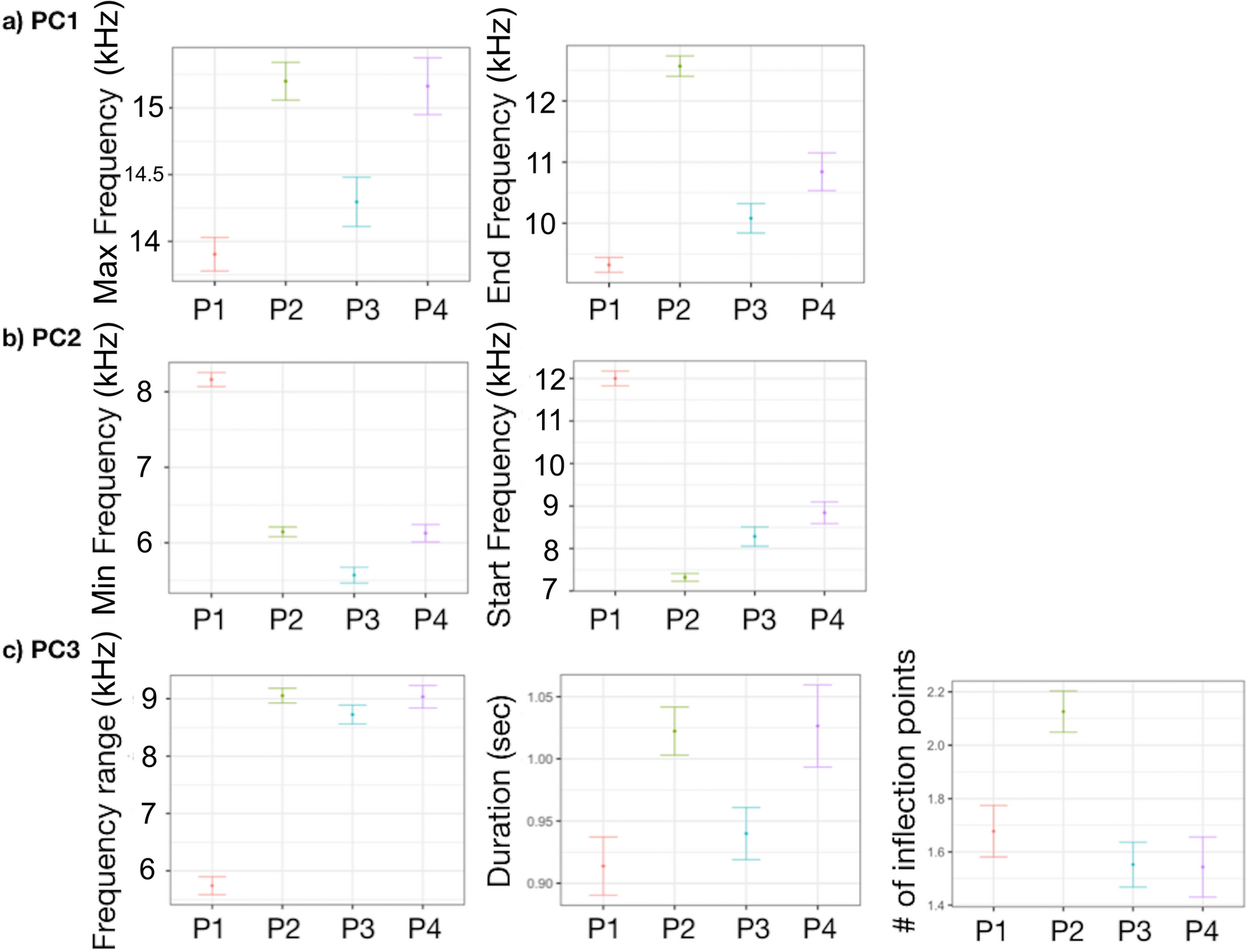
Figure 6
From: Determinants of variability in signature whistles of the Mediterranean common bottlenose dolphin

Effect of ‘population demography’ on (a) max and end frequencies (PC1), (b) min and start frequencies (PC2) and (c) frequency range, duration and number of inflection points (PC3).