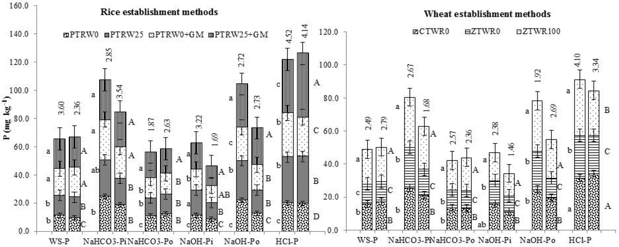
Figure 2

Effect of tillage, green manure and residue management practices on phosphorus fractions in micro-aggregate (1–2 mm) and macro-aggregate (> 2 mm) after five years of rice–wheat cropping system. PTRW0-puddled transplanted rice with no wheat straw, PTRW25-puddled transplanted rice with 25% anchored wheat straw retained, GM-Green manure, CTWR0-conventional tillage wheat with rice straw removed, ZTWR0-zero tillage wheat with rice straw removed, ZTWR100-ZTW with rice straw retained as surface mulch. Vertical bars are the standard errors of the mean (p < 0.05). First and second stacked bars indicate 1–2 mm and > 2 mm, respectively. The values above the vertical bars represent least significant difference test.