Figure 5

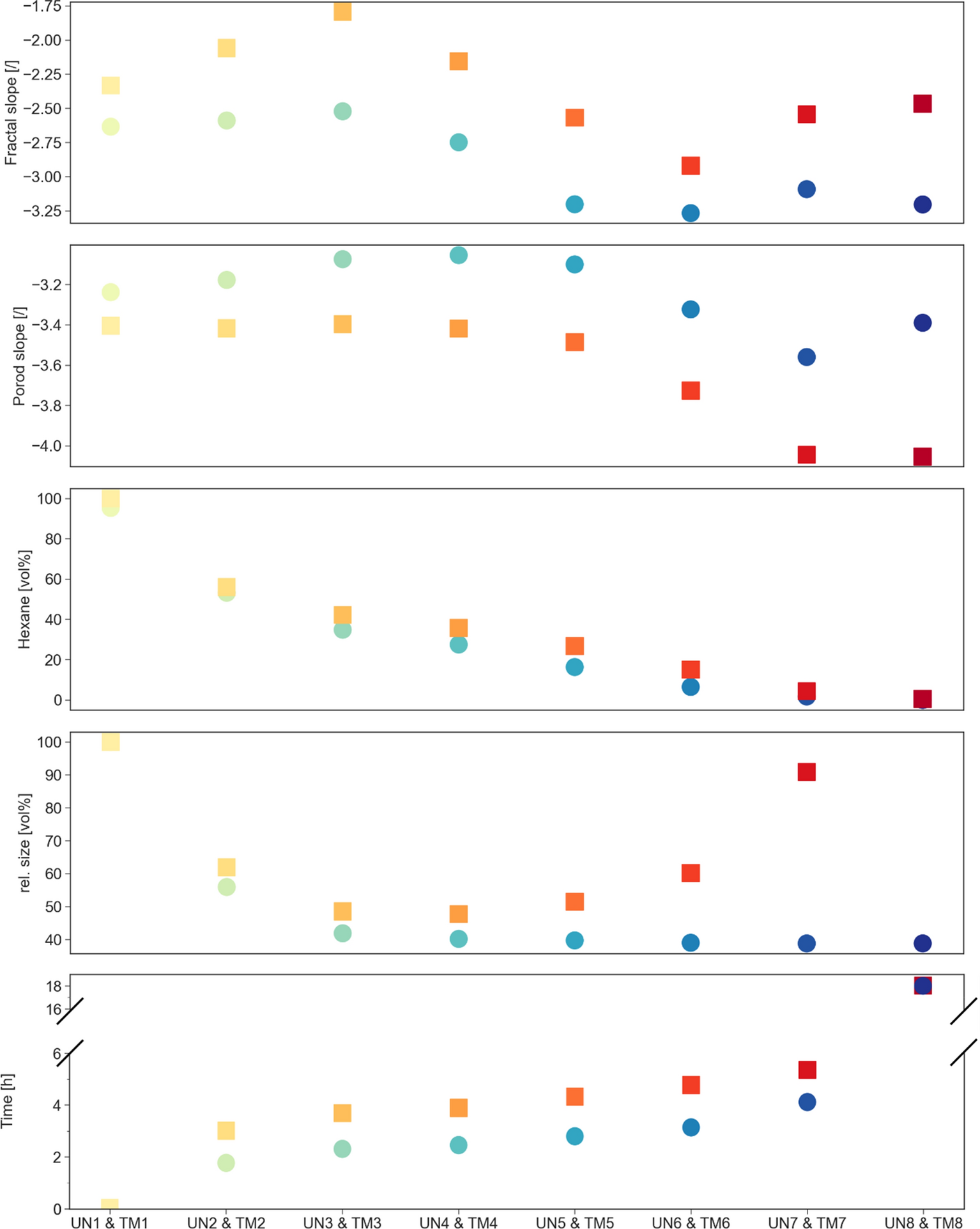
Overview of distinct features of the in-situ X-ray scattering experiment are visualized for specific points of interest UN1-UN8 (green/blue) and TM1-TM8 (yellow/red) as a function of fractal slope, Porod slope, hexane, relative size, and time, respectively. The relative size was estimated by measuring the area in the photographs. The last value (TM8) for the TM sample could not be measured due to the cracking induced by the sample falling over.