Figure 6
From: Real-time realizable mobile imaging photoplethysmography

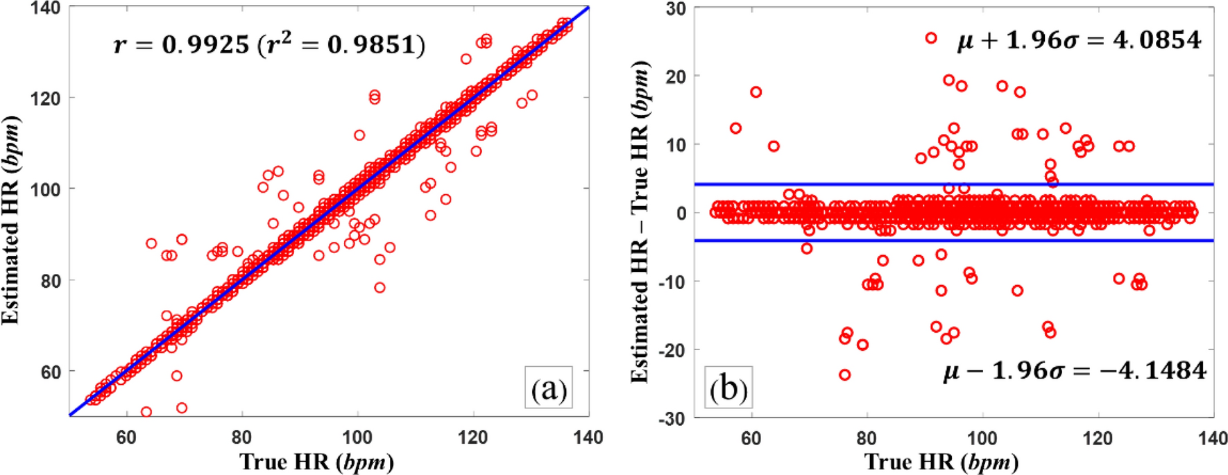
(a) Pearson correlations between estimated HRs and true HRs (r = 0.9925). (b) Bland–Altman plot (μ = − 0.0315 and σ = 2.1005).
From: Real-time realizable mobile imaging photoplethysmography

(a) Pearson correlations between estimated HRs and true HRs (r = 0.9925). (b) Bland–Altman plot (μ = − 0.0315 and σ = 2.1005).