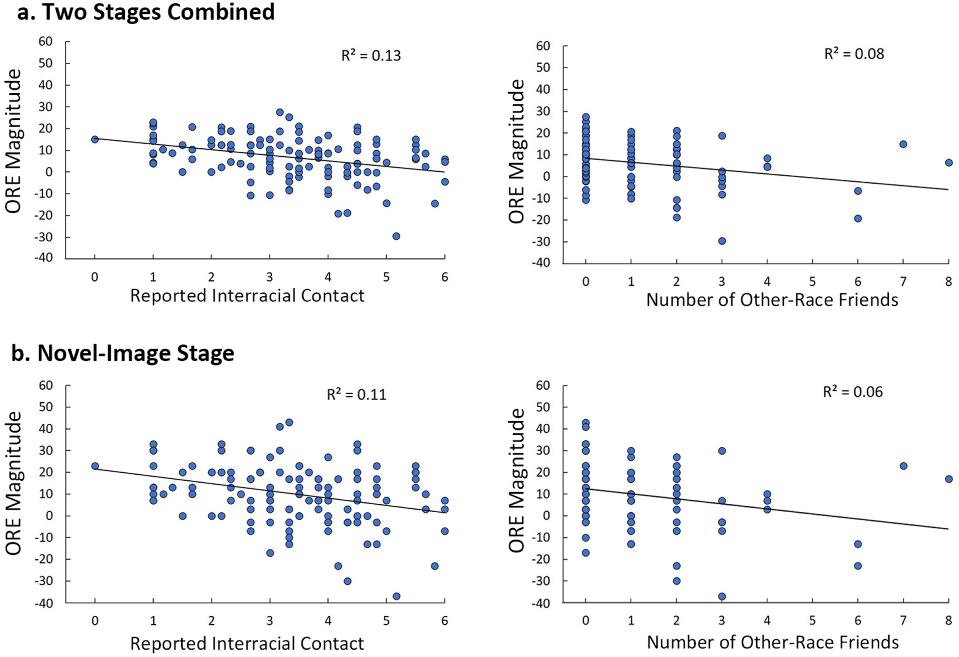
Figure 5

Reported interracial contact (left panel) and number of interracial friends (right panel) are negatively correlated with the magnitude of the ORE across both stages (a) and for the Novel-Image Stage (b). Dots indicate individual data of the magnitude of the other-race effect. Solid trendlines show lines of best fit.