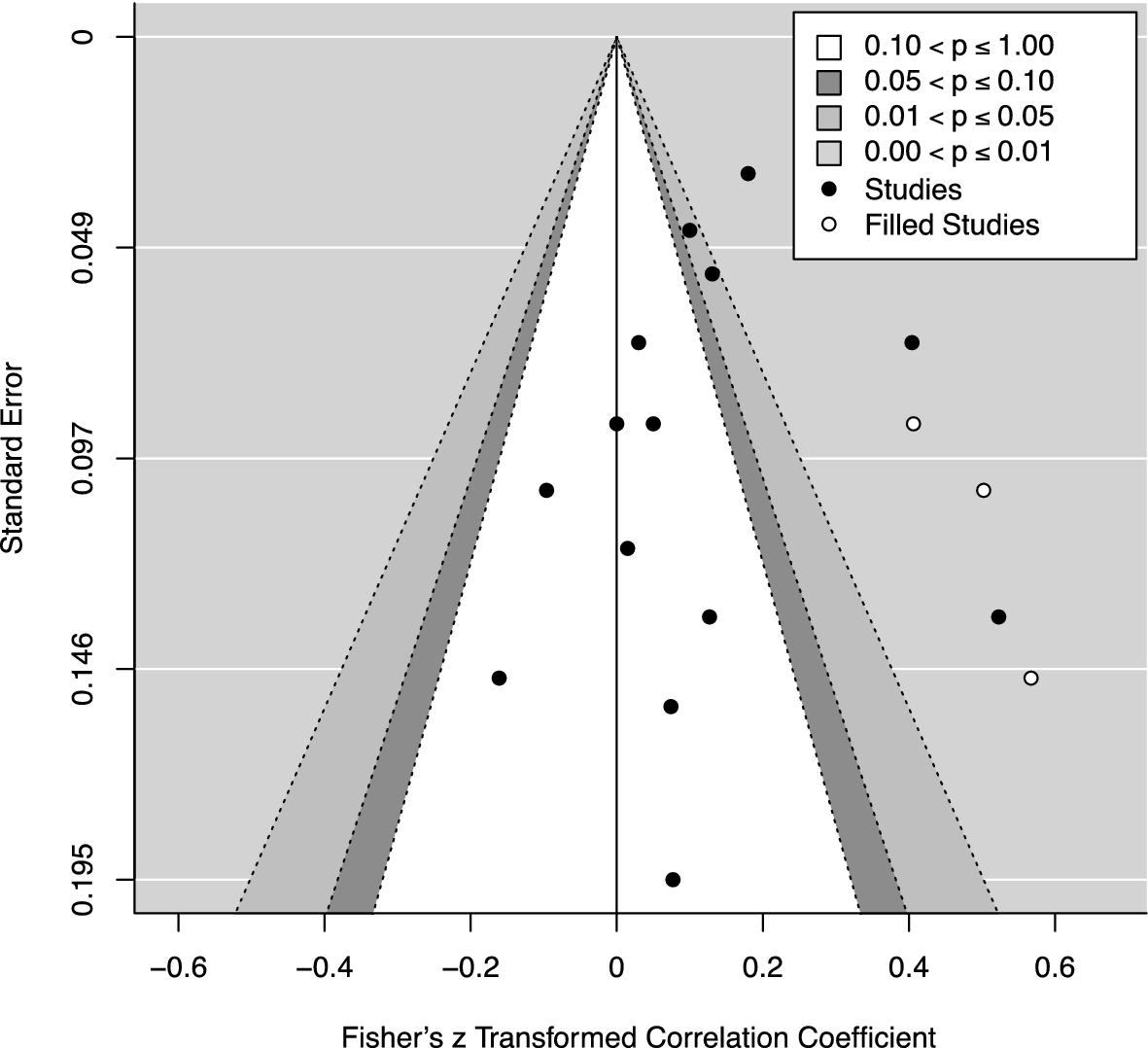
Figure 4

Contour-enhanced funnel plot for studies for which within-couple correlations for autistic traits measures could be determined. Black circles represent individual studies; white circles represent the hypothesised missing studies imputed via the trim and fill procedure.