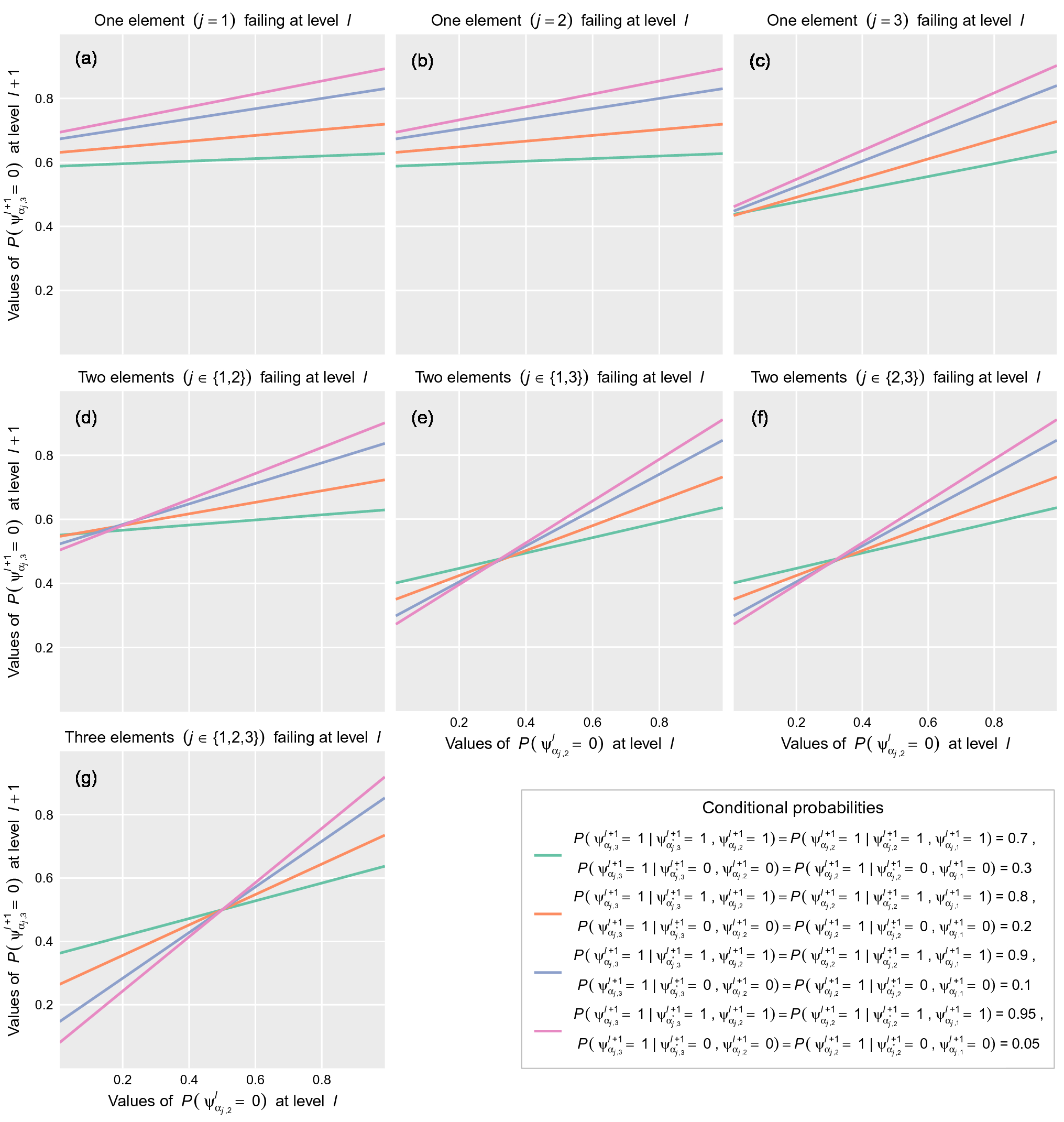
Figure 4

Performance loss of the system at level \(l+1\) for different failure behaviors at level \(l\), different combinations of \(P(\Psi _{\alpha _{j},i}^{l+1}=1\vert (\Psi _{\alpha ^{*}_{j},i}^{l+1},\Psi _{\alpha _{j},i-1}^{l+1})=(a,b))\), where \((a,b)\in \{(1,1),(0,0)\}\), and \(P(\Psi _{\alpha _{j},i}^{l+1}=1\vert (\Psi _{\alpha ^{*}_{j},i}^{l+1},\Psi _{\alpha _{j},i-1}^{l+1})=(1,0))=P(\Psi _{\alpha _{j},i}^{l+1}=1\vert (\Psi _{\alpha ^{*}_{j},i}^{l+1},\Psi _{\alpha _{j},i-1}^{l+1})=(0,1))=0.5\). First approach. Equivalent Bayesian network.