Figure 2
From: Transverse Kerker effect in all-dielectric spheroidal particles

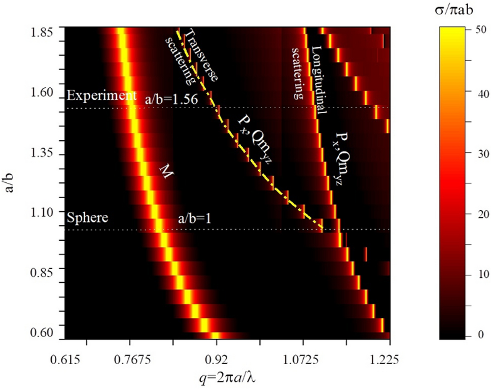
Normalized scattering cross-section of spheroidal all-dielectric particles depending on their aspect ratio a/b and size parameter \(q=2\pi a/\lambda \). Experimental cross-section obtained for a/b=1.56 demonstrates three peaks, two of them are related to transverse and longitudinal scatterings.