Figure 9
From: Transverse Kerker effect in all-dielectric spheroidal particles

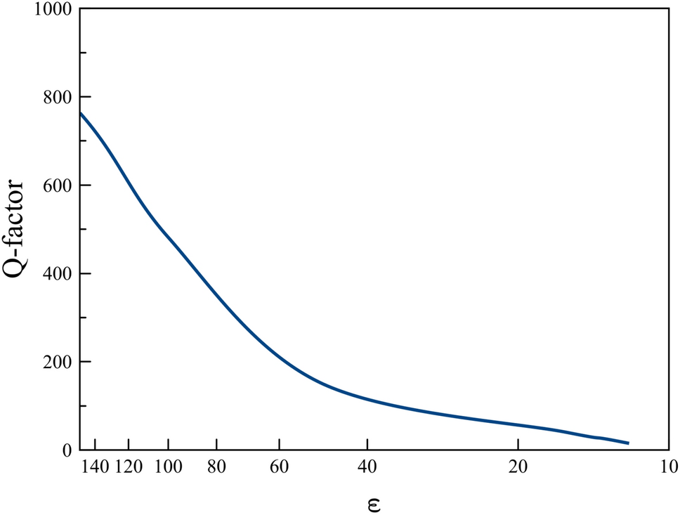
Dependence of dumbbell Kerker effect Q-factor on permittivity \(\varepsilon \) for spheroids of a/b = 1.56.
From: Transverse Kerker effect in all-dielectric spheroidal particles

Dependence of dumbbell Kerker effect Q-factor on permittivity \(\varepsilon \) for spheroids of a/b = 1.56.