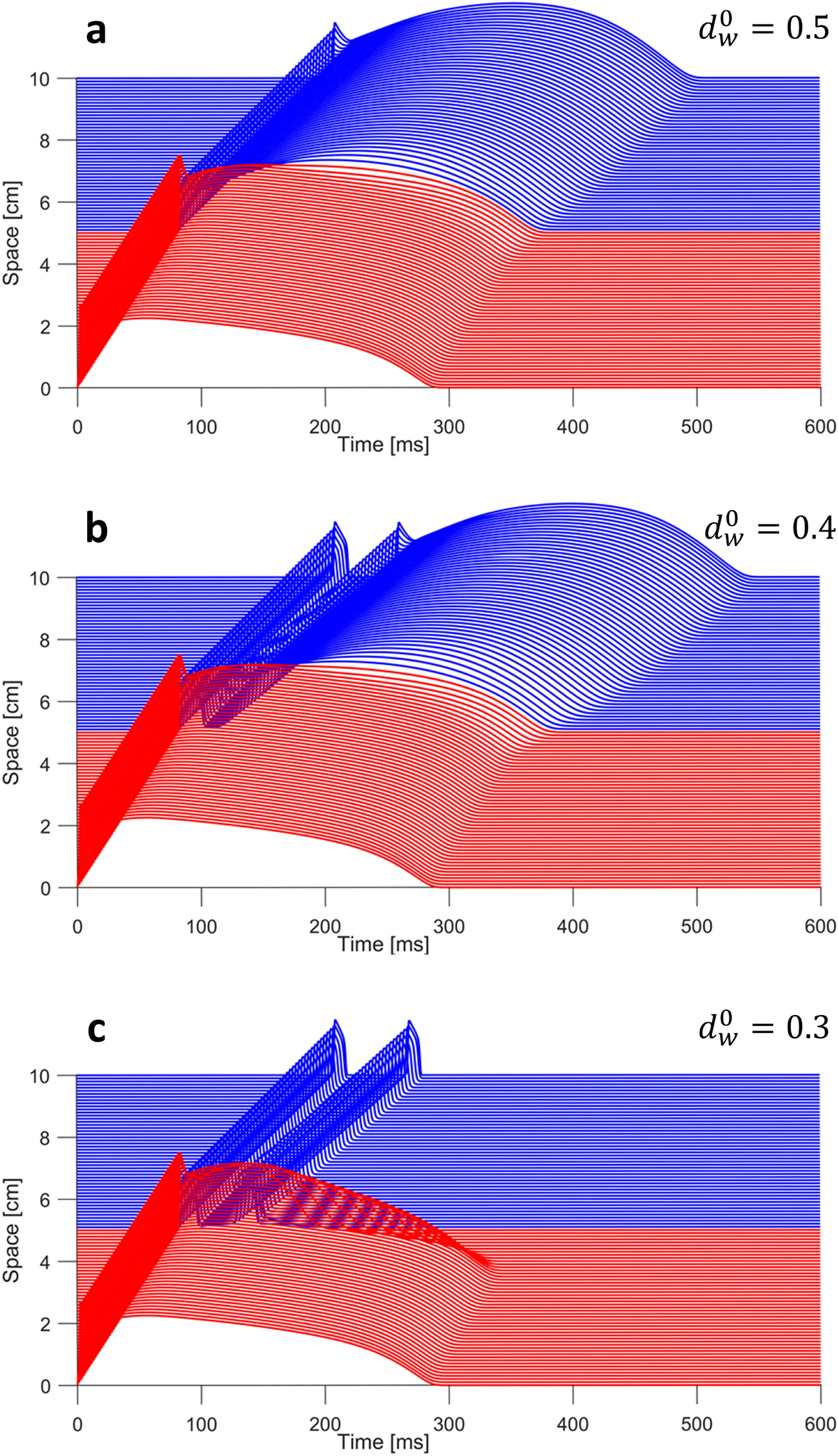
Figure 3

Different orthodromic P2R modalities corresponding to different values of \(d_w^0\). For each situation, a propagating healthy AP (red) depolarizes the BrS tissue (blue). P2R is observed when the electrotonic currents from the healthy region to the BrS region cause a new excitation. (a) \(d_w^0 = 0.5\); a delayed dome action potential propagates in the BrS region, therefore P2R is not possible. (b) \(d_w^0 = 0.4\); P2R generates a delayed dome AP following the lost dome AP. (c) \(d_w^0=0.3\); P2R generates a new lost dome AP.