Figure 6

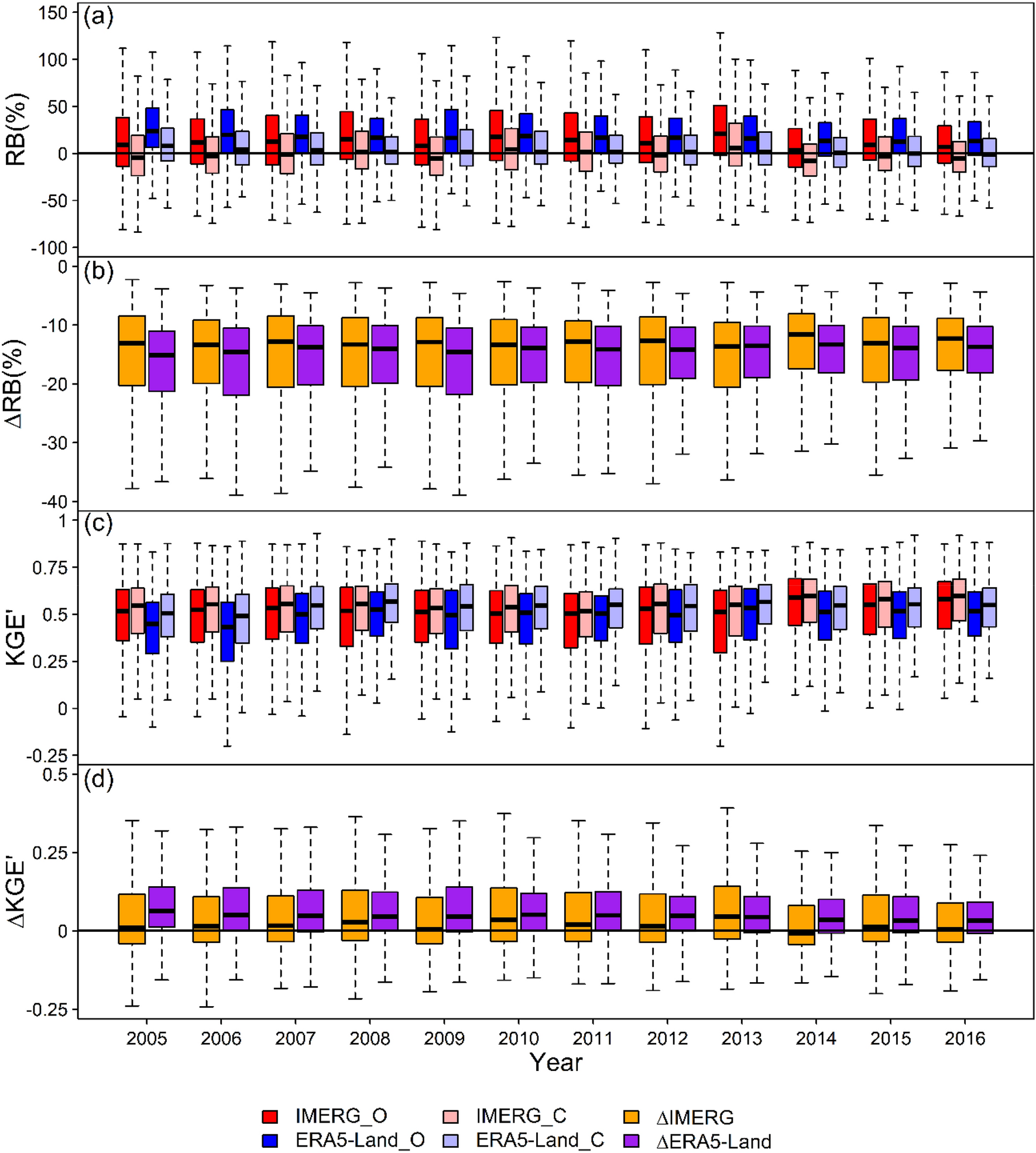
Boxplots of (a) RB (RB_O and RB_C), (b) ∆RB, (c) KGEʹ (KGEʹ_O and KGEʹ_C), and (d) ∆KGEʹ for IMERG and ERA5-Land at inter-annual scale.

Boxplots of (a) RB (RB_O and RB_C), (b) ∆RB, (c) KGEʹ (KGEʹ_O and KGEʹ_C), and (d) ∆KGEʹ for IMERG and ERA5-Land at inter-annual scale.