Figure 10

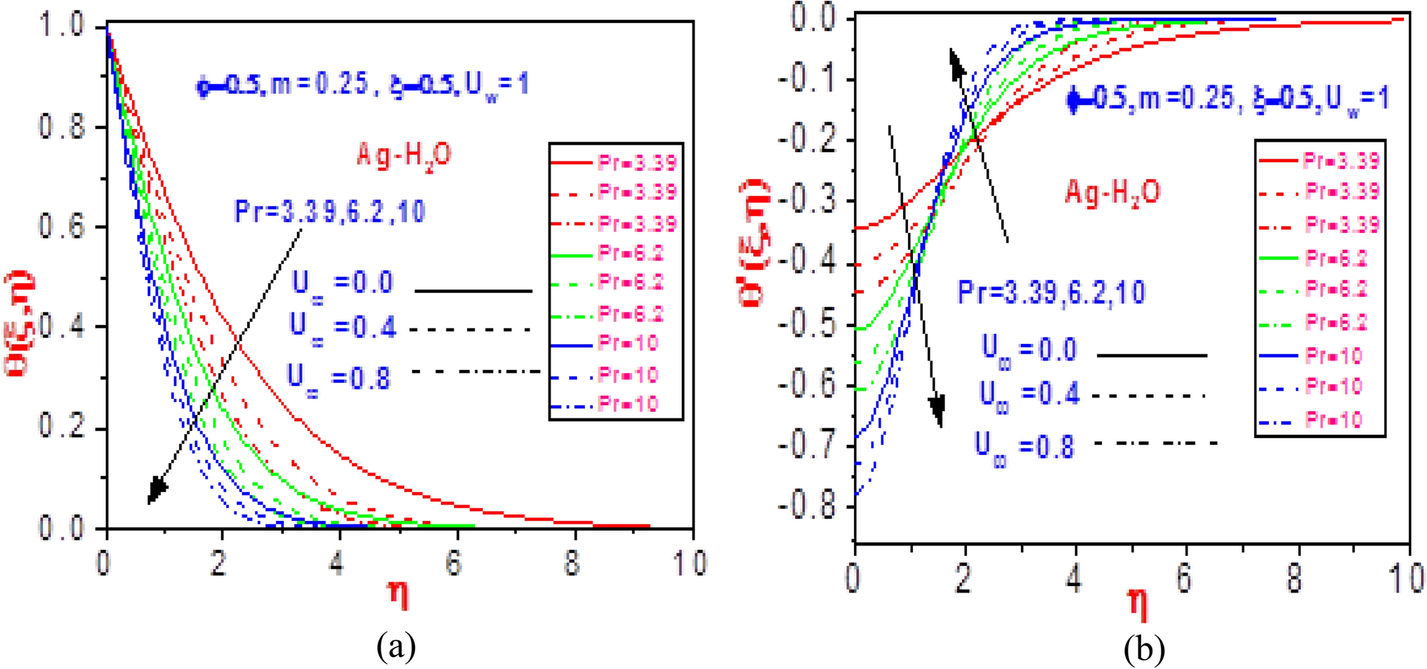
Profiles of (a) temperature \(\theta \left( {\xi ,\eta } \right)\) and (b) missing temperature slope \(\theta^{\prime}\left( {\xi ,\eta } \right)\) with different values of \(U_{\infty }\) and \(\Pr\) for Ag-H2O.

Profiles of (a) temperature \(\theta \left( {\xi ,\eta } \right)\) and (b) missing temperature slope \(\theta^{\prime}\left( {\xi ,\eta } \right)\) with different values of \(U_{\infty }\) and \(\Pr\) for Ag-H2O.