Figure 18

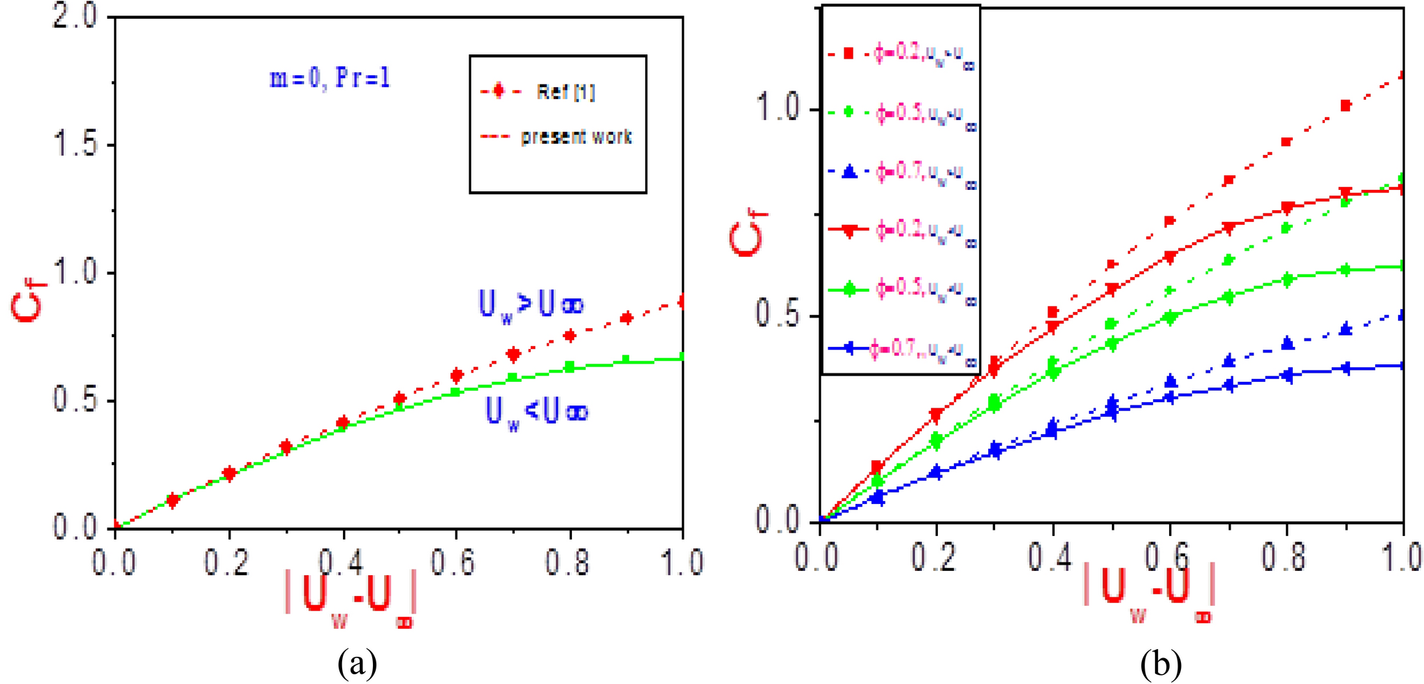
Profiles of shear stress versus normalized velocity difference (a) at different values of \(\phi\) near the wall \((\eta = 0)\)(b) for \(n = 1\) and without nanoparticles1.

Profiles of shear stress versus normalized velocity difference (a) at different values of \(\phi\) near the wall \((\eta = 0)\)(b) for \(n = 1\) and without nanoparticles1.