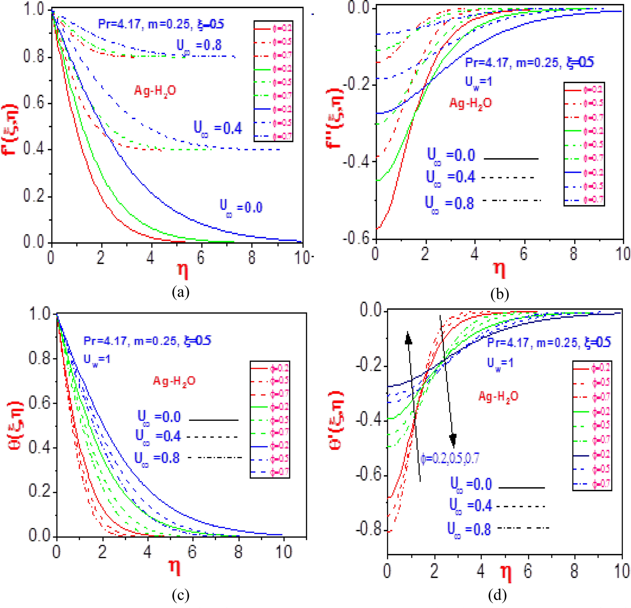
Figure 6

Profiles of (a) velocity \(f^{\prime}\left( {\xi ,\eta } \right)\), (b) missing velocity slope \(f^{\prime\prime}\left( {\xi ,\eta } \right)\), (c) temperature \(\theta \left( {\xi ,\eta } \right)\), and (d) missing temperature slope \(\theta^{\prime}\left( {\xi ,\eta } \right)\) with different values of \(U_{\infty }\) and \(\phi\) for Ag-H2O.