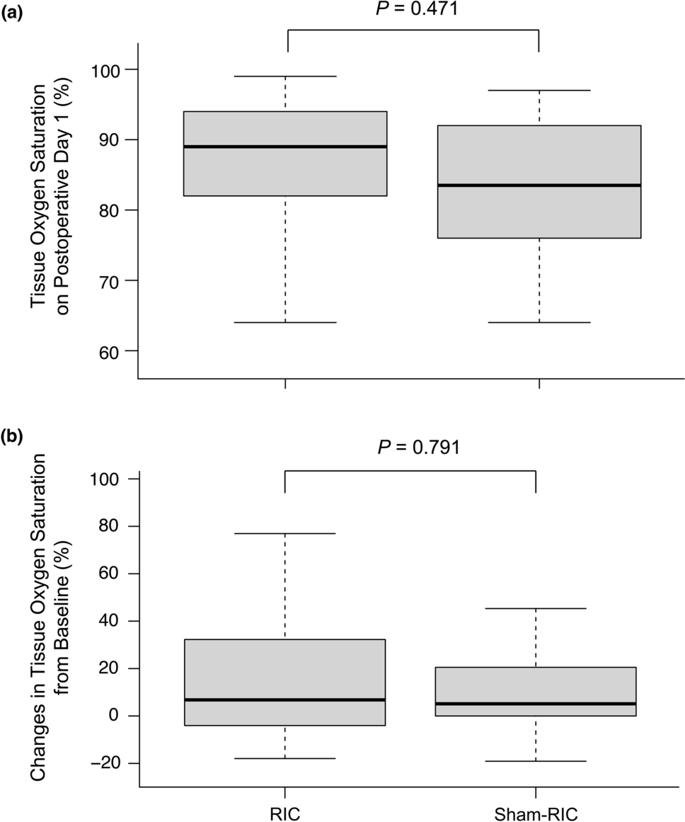
Figure 3

Boxplot of (a) tissue oxygen saturation of the flap on postoperative day 1 and (b) changes in tissue oxygen saturation of the flap site after free flap reconstruction compared to the baseline in the RIC and sham-RIC group. Horizontal line within the box indicates median values; lower and upper boundaries of the box indicate 25th and 75th percentiles, respectively; horizontal lines outside the box indicate the minimum and the maximum values of the data, respectively. Extreme outliers were omitted. RIC remote ischemic conditioning.