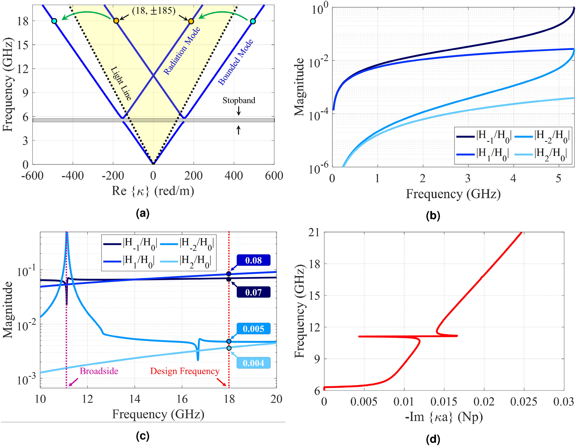
Figure 4
From: Temporally modulated one-dimensional leaky-wave holograms

Analytical results of the proposed hologram in the pure-space modulation mode (\(f_p = 0\) GHz) for the case of \(X_0 = 0.85\eta _0\) and \(M = 0.2\). (a) Dispersion diagram. (b) Normalized magnitudes of different harmonics as a function of ka in the lower band. (c) Normalized magnitudes of different harmonics in the leaky-wave region. (d) Attenuation constant curve as a function of frequency.