Figure 1

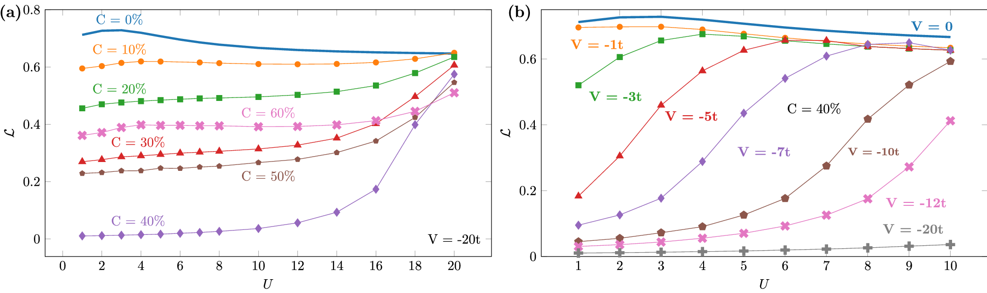
Entanglement of disordered nanostructures as a function of the particle interaction: (a) for several concentrations C of impurities with strength \(V=-20t\) and (b) for several disorder strengths V at the critical concentration \(C_C=100n/2=40\%\).