Figure 6
From: Determination of sub-ps lattice dynamics in FeRh thin films

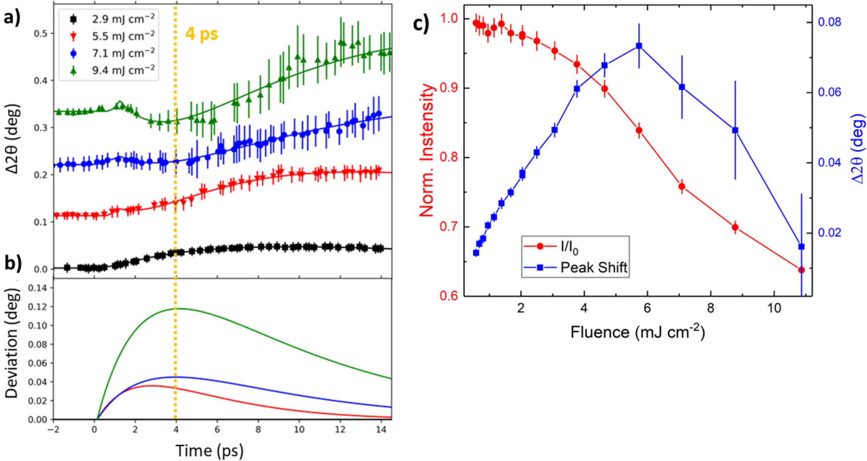
Transient Lattice State—(a) The shift of the (–101) FeRh peak as a function of probe delay. Data is offset vertically for clarity. Error bars represent the standard deviation of the intensity of the individual measurements when binned according to a jitter correction procedure. Equation (4) was fitted to the data shown by the full lines. (b) The transient term that acts to contract the lattice is plotted using the parameters obtained from fitting the data. This shows that higher laser fluences result in a stronger and longer-lived transient state with τG* ≈ 3 ps and τR* ≈ 6 ps. (c) Peak shift and change in intensity of (–101) FeRh Bragg peak as a function of laser fluence, at a fixed time delay of 4 ps. The increasing pump fluence causes a steady decrease in intensity. The reduction in peak shift above 5 mJ cm-2 is assumed to be due to the induced transient state.