Figure 1
From: Boosting SARS-CoV-2 detection combining pooling and multiplex strategies

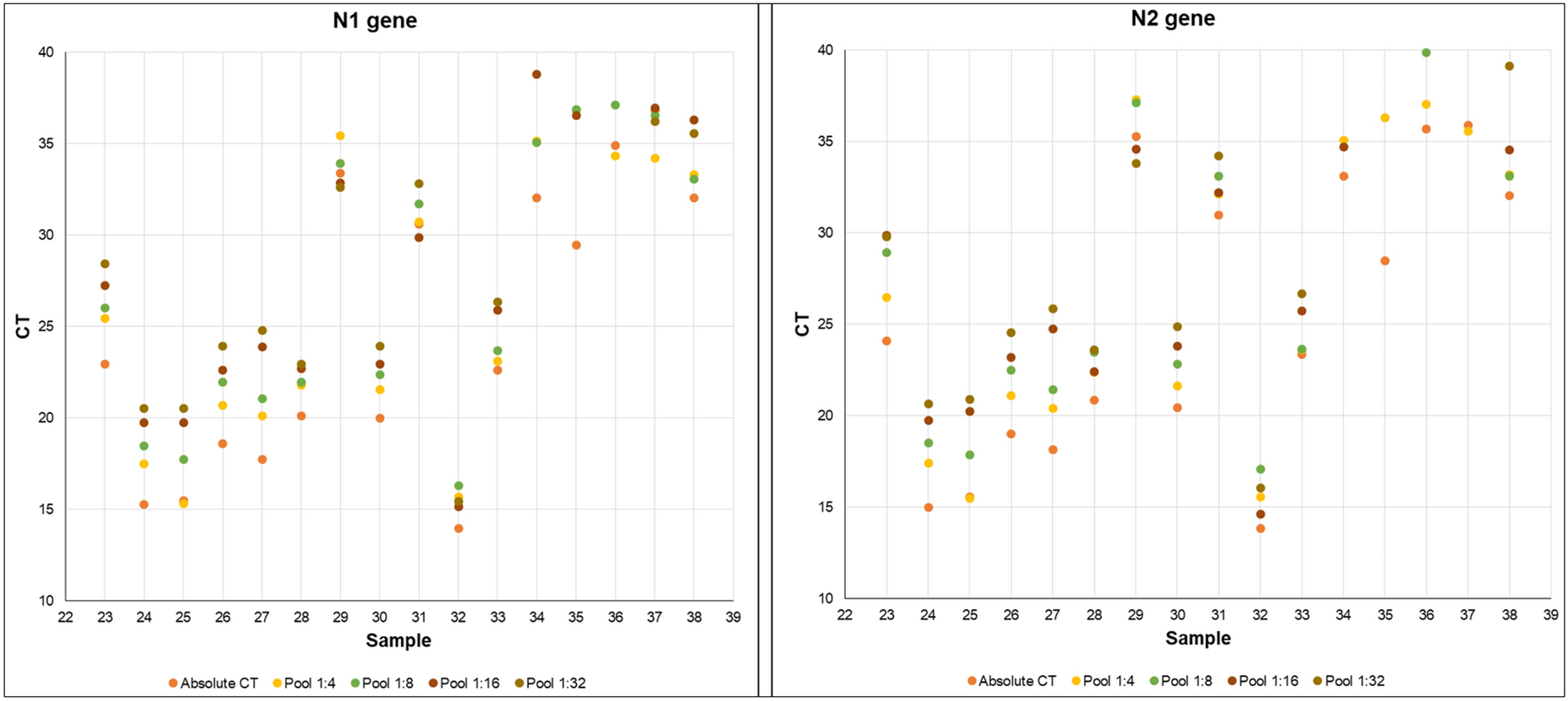
Pooling test examples of samples with distinct CT ranges. The values from all samples tested are presented in Table S1. 1:4, 1:8, 1:16 and 1:32 correspond to one positive sample pooled with other 3, 7, 15 and 32 negative samples, respectively.