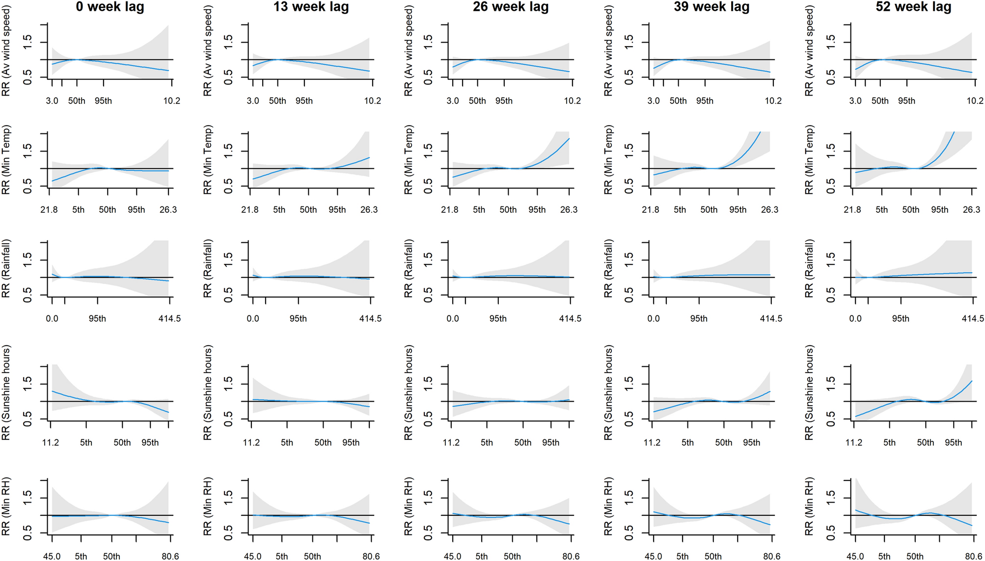
Figure 4
From: Association between climate variables and pulmonary tuberculosis incidence in Brunei Darussalam

The lagged effects on the relative risk (RR) of PTB incidence from final multivariate model, of (from top to bottom) average wind speed, minimum temperature, total rainfall, total sunshine hours and minimum relative humidity, at lags 0, 13, 26, 39 and 52 weeks. There are 5 x-axis label ticks for each plot, corresponding to the minimum, 5th percentile, 50th percentile, 95th percentile and maximum. The areas shaded in grey correspond to the 95% Confidence Interval.