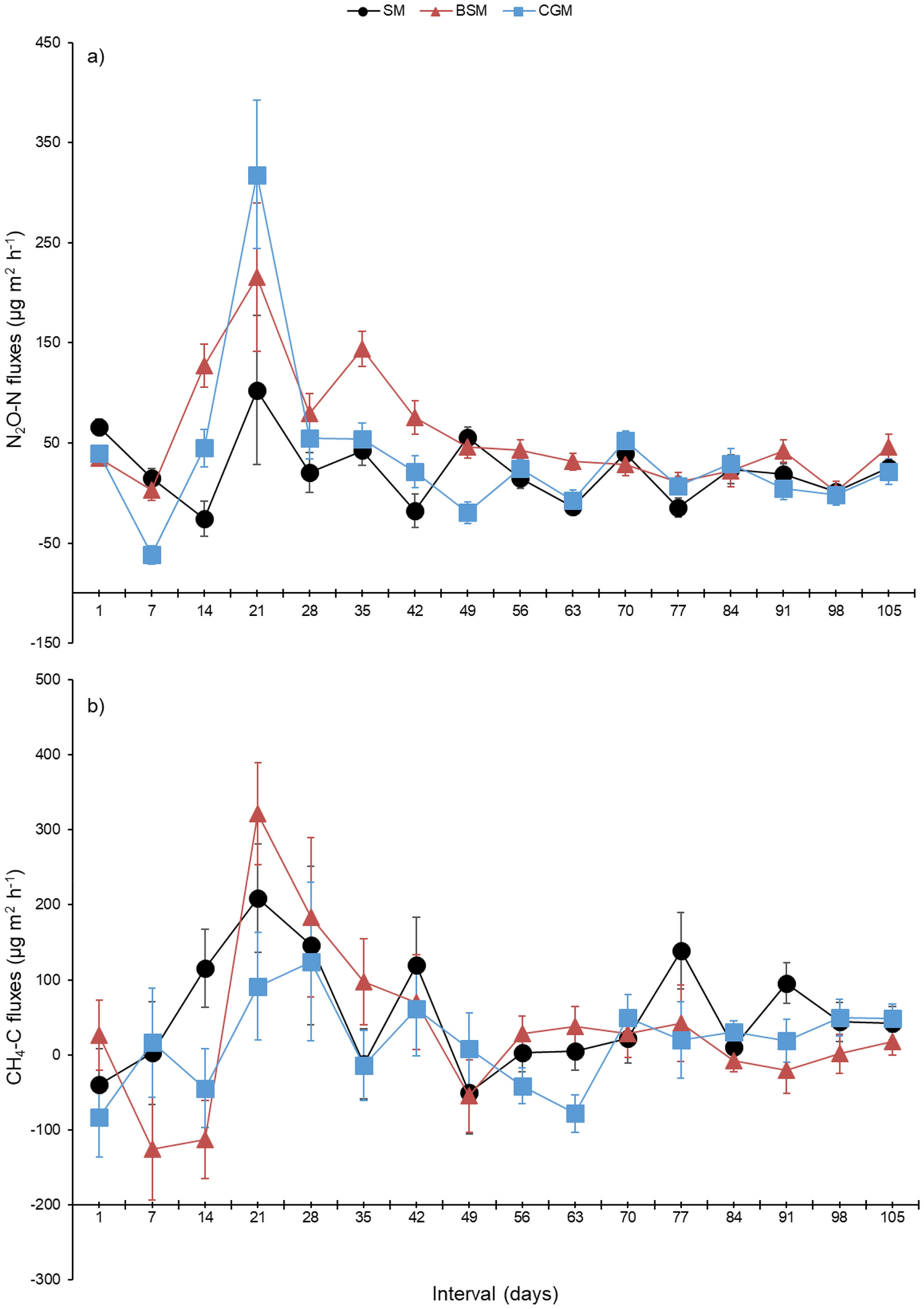
Figure 2

source of rumen degradable protein (RDP), BSM = manure of animals fed by-pass soybean meal as a source of rumen undegradable protein (RUP), CGM = manure of animals fed gluten meal as a source of RUP. P-values for N2O (treatment = 0.003; time < 0.001; treatment × time interaction < 0.001) and CH4 (treatment = 0.165; time < 0.001; treatment × time interaction < 0.005). Chamber considered as an experimental unit (n = 9). The error bars representing standard error of the mean.
N2O and CH4 fluxes from the manure of Nellore cattle fed with sources of rumen undegradable protein during the finishing phase in feedlots. SM = manure of animals fed soybean meal as a