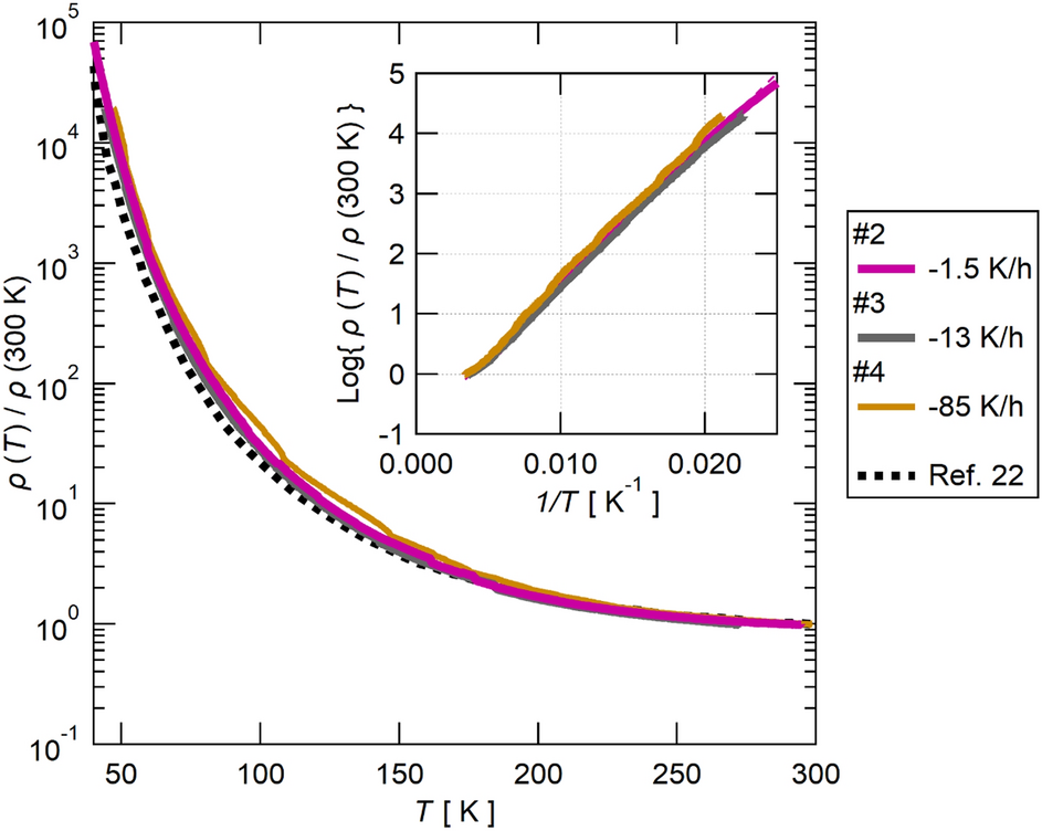
Figure 1
From: Resistivity and thermal conductivity of an organic insulator β′–EtMe3Sb[Pd(dmit)2]2

The temperature dependence of the resistivity of Sample #2, #3, and #4 normalized by the value at room temperature. The data of Ref.22 is shown for reference (the dashed line). The inset shows the Arrhenius plot of the data, showing that the temperature dependence of the resistivity follows the simple activated behavior (\(\rho \propto \mathrm{exp}\left(\Delta /{k}_{\mathrm{B}}T\right)\)).