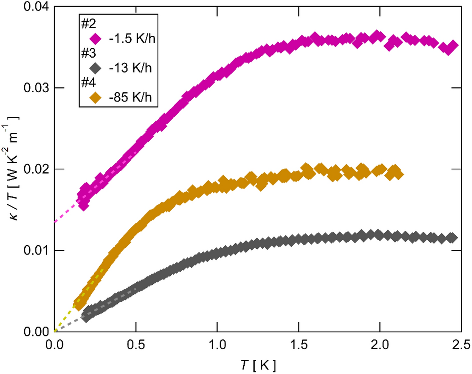
Figure 2
From: Resistivity and thermal conductivity of an organic insulator β′–EtMe3Sb[Pd(dmit)2]2

The temperature dependence of the thermal conductivity divided by the temperature (\(\kappa /T\)) of Sample #2, #3 and #4. The data of Sample #2 and #3 is the same data in Ref.21. The dashed lines show a linear fit of the data at lower temperatures.