Figure 4
From: Resistivity and thermal conductivity of an organic insulator β′–EtMe3Sb[Pd(dmit)2]2

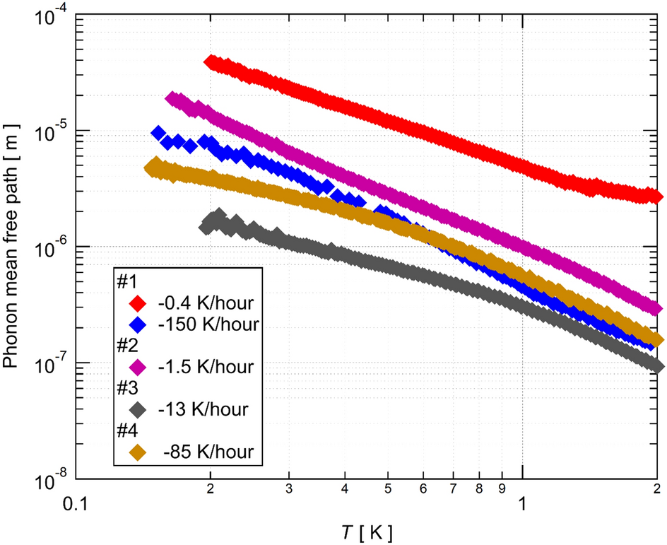
The temperature dependence of the phonon mean free path. See the main text for details.
From: Resistivity and thermal conductivity of an organic insulator β′–EtMe3Sb[Pd(dmit)2]2

The temperature dependence of the phonon mean free path. See the main text for details.