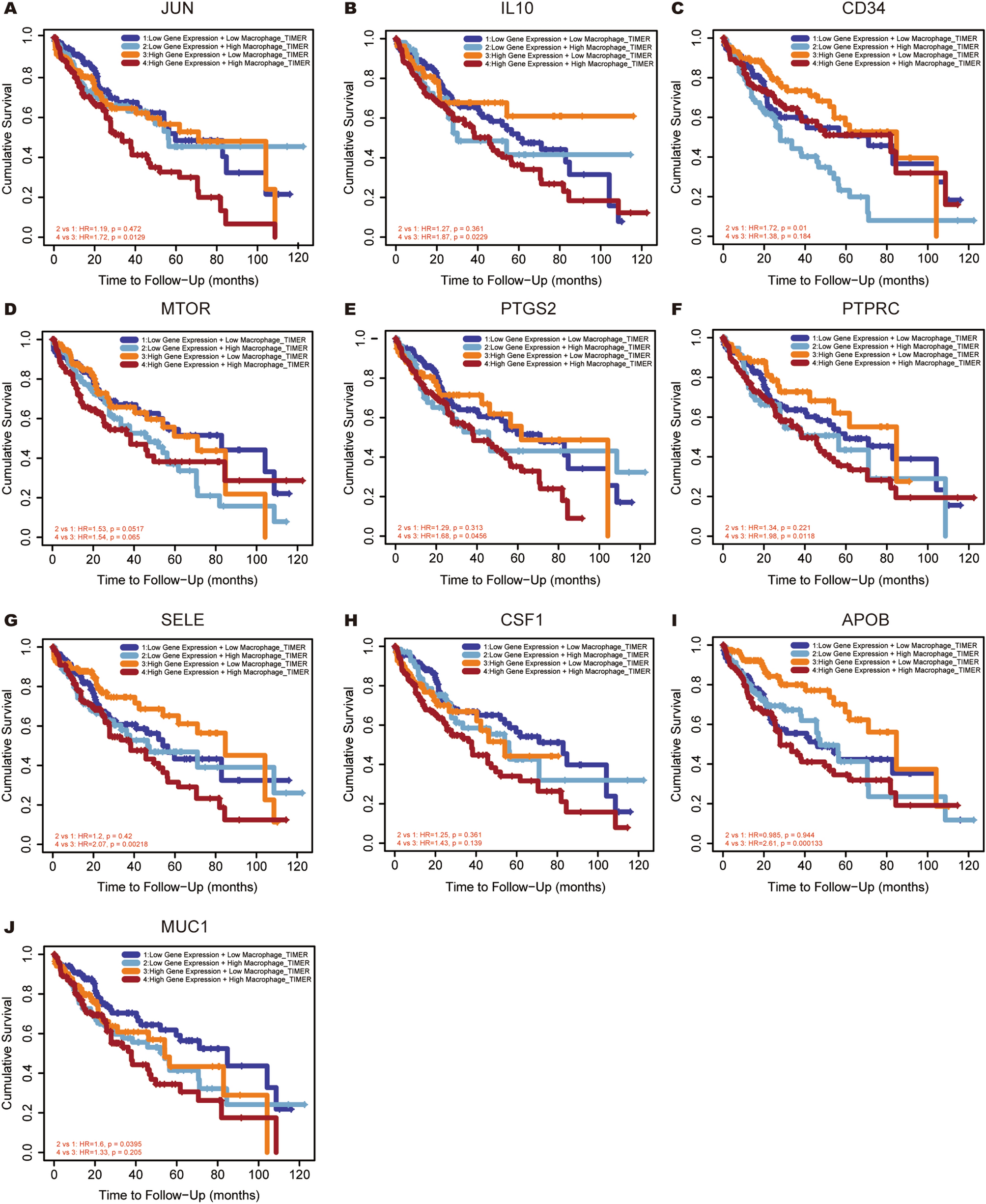
Figure 11

Overall survival analyses for combining the expression of single hub gene with macrophage in HCC patients. (A) JUN, (B) IL10, (C) CD34, (D) MTOR, (E) PTGS2, (F) PTPRC, (G) SELE, (H) CSF1, (I) APOB, (J) MUC1.

Overall survival analyses for combining the expression of single hub gene with macrophage in HCC patients. (A) JUN, (B) IL10, (C) CD34, (D) MTOR, (E) PTGS2, (F) PTPRC, (G) SELE, (H) CSF1, (I) APOB, (J) MUC1.