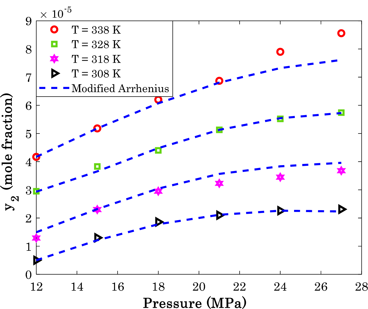
Figure 11

Variation of the sunitinib malate solubility in the supercritical CO2 as a function of operating pressure and temperature.

Variation of the sunitinib malate solubility in the supercritical CO2 as a function of operating pressure and temperature.