Figure 2

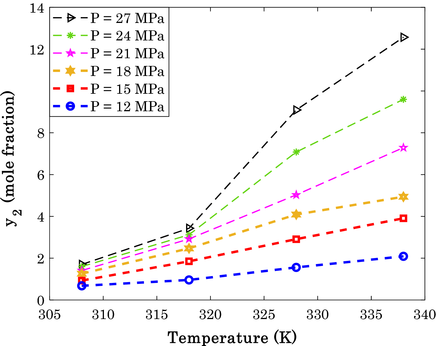
Dependency of sorafenib tosylate solubility in the supercritical CO2 on the isobaric variation of temperature (the cartesian coordinate).

Dependency of sorafenib tosylate solubility in the supercritical CO2 on the isobaric variation of temperature (the cartesian coordinate).