Figure 1

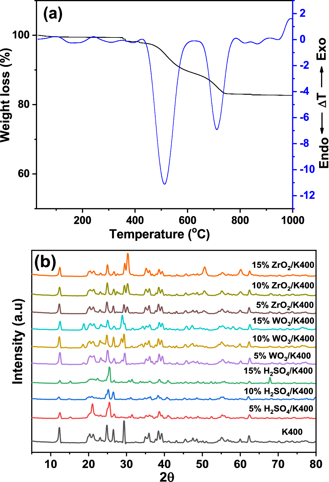
(a) TG and DTA curves of raw Kaolin and (b) XRD diffraction patterns of kaolin and modified kaolin catalysts calcined at 400 °C.

(a) TG and DTA curves of raw Kaolin and (b) XRD diffraction patterns of kaolin and modified kaolin catalysts calcined at 400 °C.