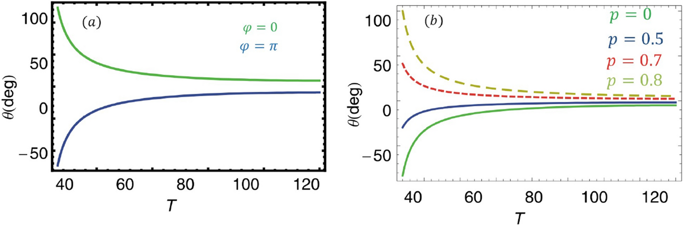
Figure 11

Magneto-optical rotation versus probe temperature of the sample, T such that \(\Omega _{1}=2.5, \Omega _{k}=2\), \(\Delta _{p}=0, \Delta _{b}=10 \gamma\) and \(p=0.8\) in (a), and \(\phi\) =0 in (b). The other parameters are kept the same as in Fig. 2.