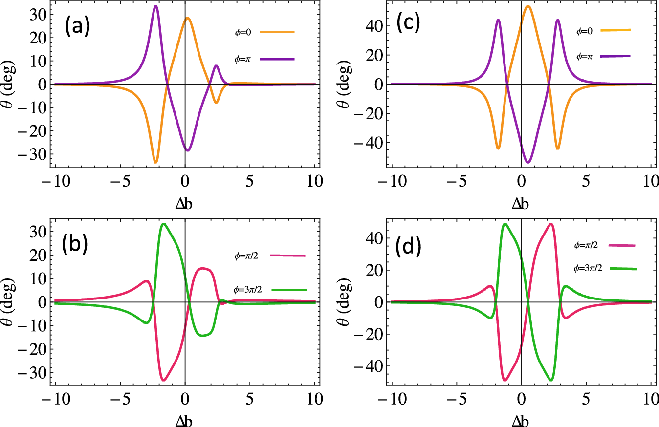
Figure 3

Magneto-optical rotation versus the probe field detuning for cold atom kD = 0 (a), (c) and thermal atom \(kD = 50 \gamma\) (b), (d) w.r.t relative phase. The other parameters are \(\Omega _{1}=2.5, \Omega _{k}=2, p=0.9, \Delta _{B}= 10\gamma\), \(\Delta _{c}=0, \Delta _{1}=0, \alpha =190 \gamma\).