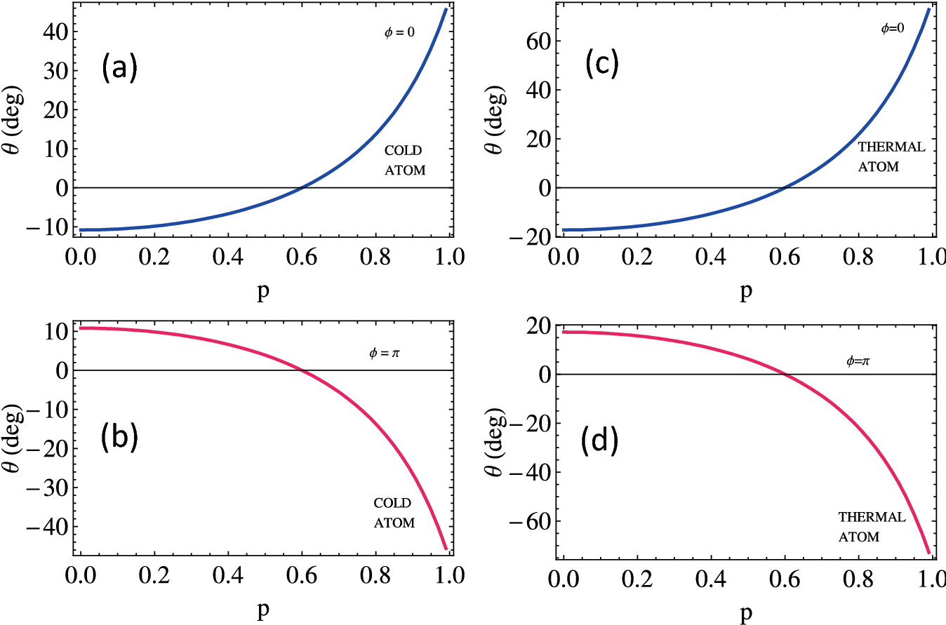
Figure 6

Magneto-optical rotation versus SGC parameter for cold atom kD = 0 (a), (c) and thermal atom \(kD = 50 \gamma\) (b), (d) w.r.t relative phase, \(\Omega _{1}=2.5\), \(\Omega _{k}=2, \phi =0, \Delta _{p}=0\). The other parameters are same as in Fig. 2.