Figure 2

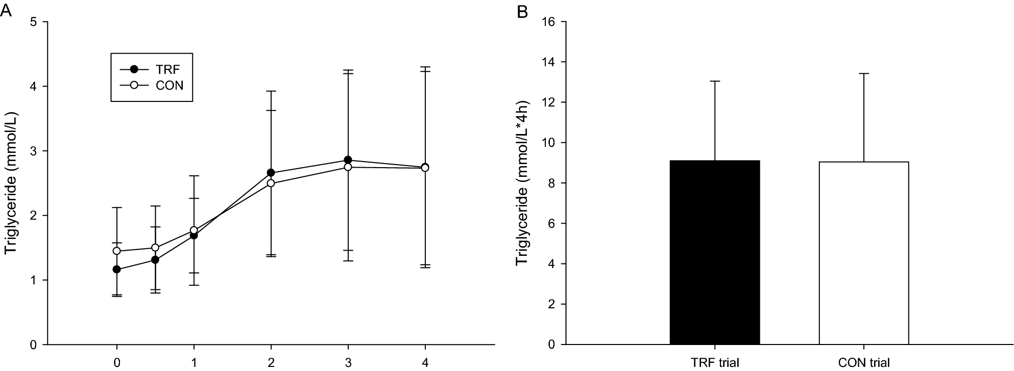
The postprandial triglycerides concentrations over the 4 h (A) and the TG area under the curve in 4 h (B). *Mean TRF was significantly higher than those for the CON.

The postprandial triglycerides concentrations over the 4 h (A) and the TG area under the curve in 4 h (B). *Mean TRF was significantly higher than those for the CON.