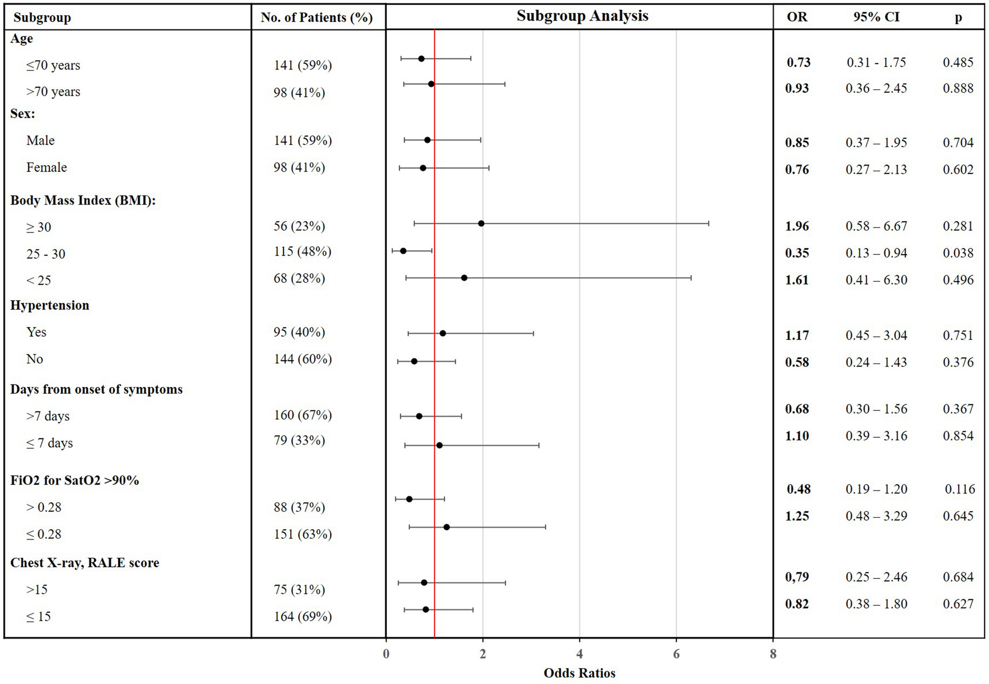
Figure 2

Forest plot for the effect of colchicine on the composite outcome in prespecified subgroups. OR odds ratios, 95% CI 95% confidence interval.

Forest plot for the effect of colchicine on the composite outcome in prespecified subgroups. OR odds ratios, 95% CI 95% confidence interval.