Figure 7
From: Moisture retention of glycerin solutions with various concentrations: a comparative study

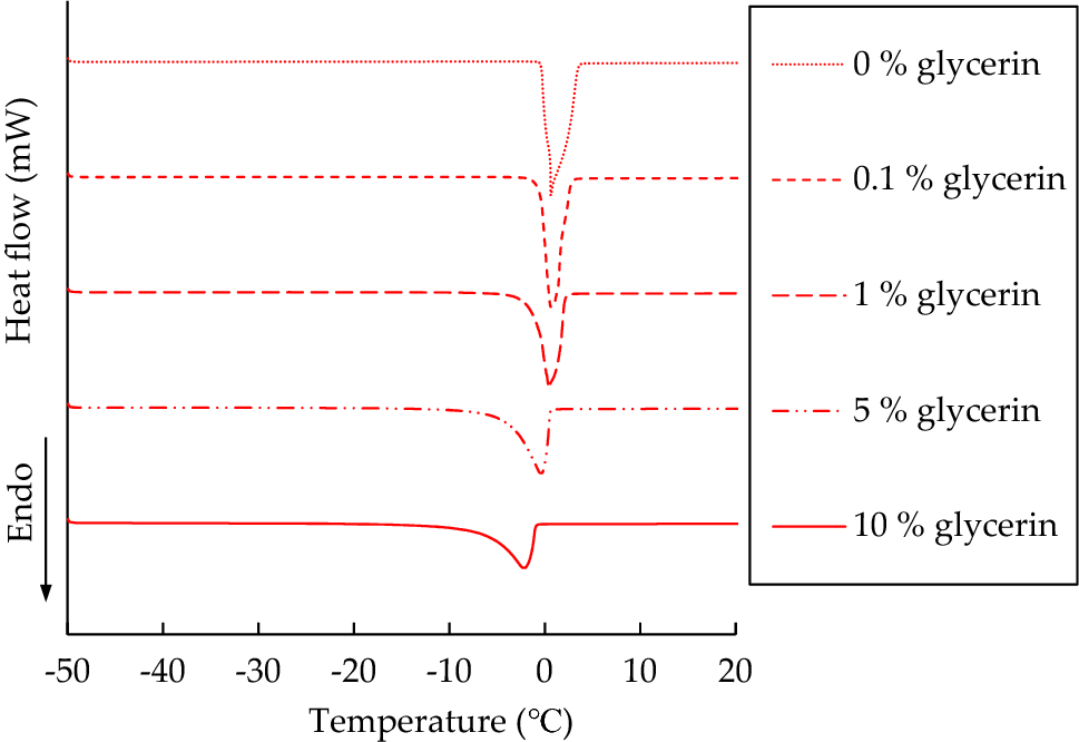
Heating curves of DSC thermograms at a 1 °C/min scanning rate for glycerin solutions with the concentrations of 0–10 wt%.
From: Moisture retention of glycerin solutions with various concentrations: a comparative study

Heating curves of DSC thermograms at a 1 °C/min scanning rate for glycerin solutions with the concentrations of 0–10 wt%.