Figure 2

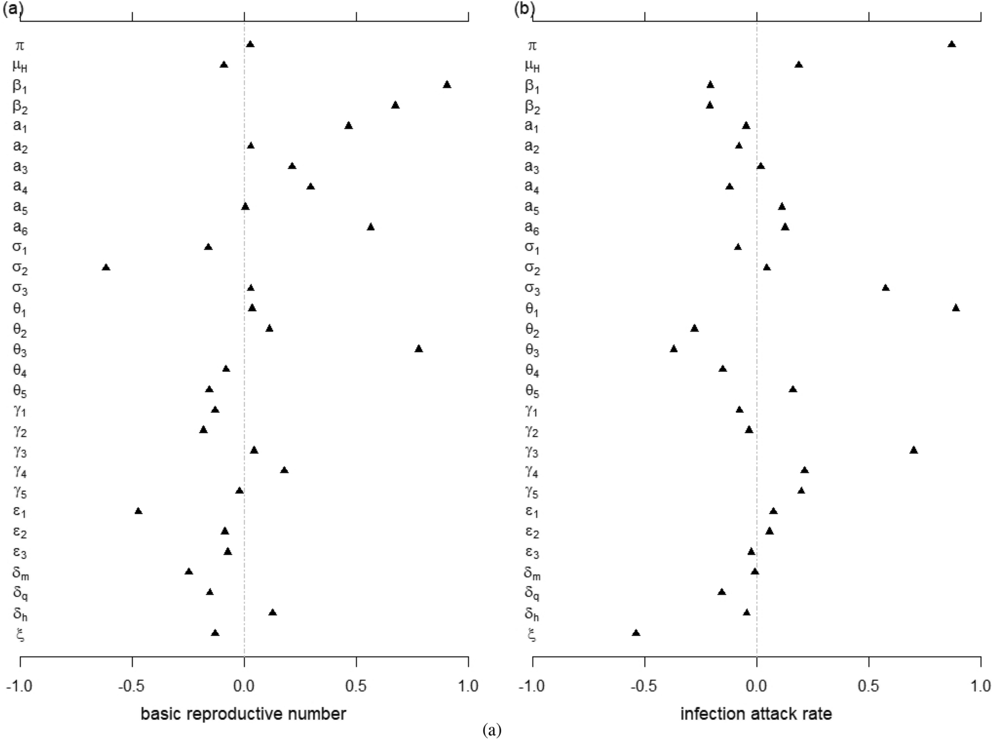
The partial rank correlation coefficient (PRCC) of the basic reproduction number \({\mathscr {R}}_{0}\) and infection attack rate with respect to model parameters.

The partial rank correlation coefficient (PRCC) of the basic reproduction number \({\mathscr {R}}_{0}\) and infection attack rate with respect to model parameters.