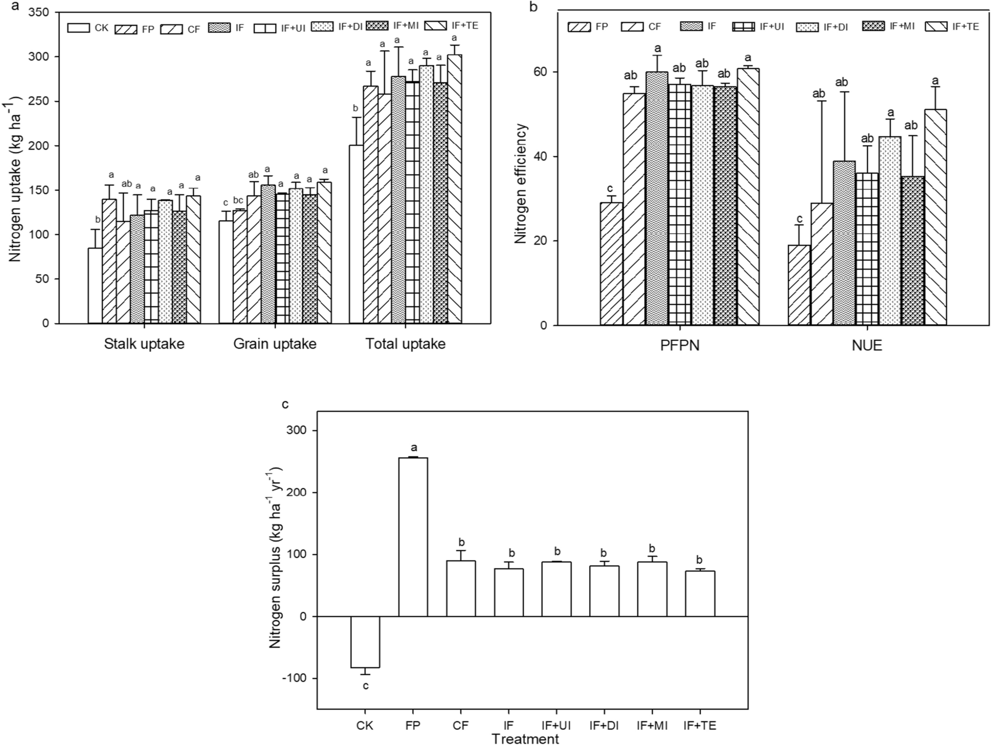
Figure 2

Nitrogen uptake (a), Partial factor productivity of nitrogen (PFPN) (b), Nitrogen use efficiency (NUE) (b), and Nitrogen surplus (total N input minus total N uptake) (c). CK, unfertilized control; FP, farmer practice; CF, conventional fertilization; IF, innovative fertilizer; IF + UI, innovative fertilizer and urea inhibitors additives; IF + DI, innovative fertilizer and double inhibitors additives; IF + MI, innovative fertilizer and micro-organisms additives, and innovative fertilizer and micro-organisms trace elements additives (IF + TE). All values are reported as mean ± SD, n = 3. The values followed by the different letters show statistically significant differences at P < 0.05.