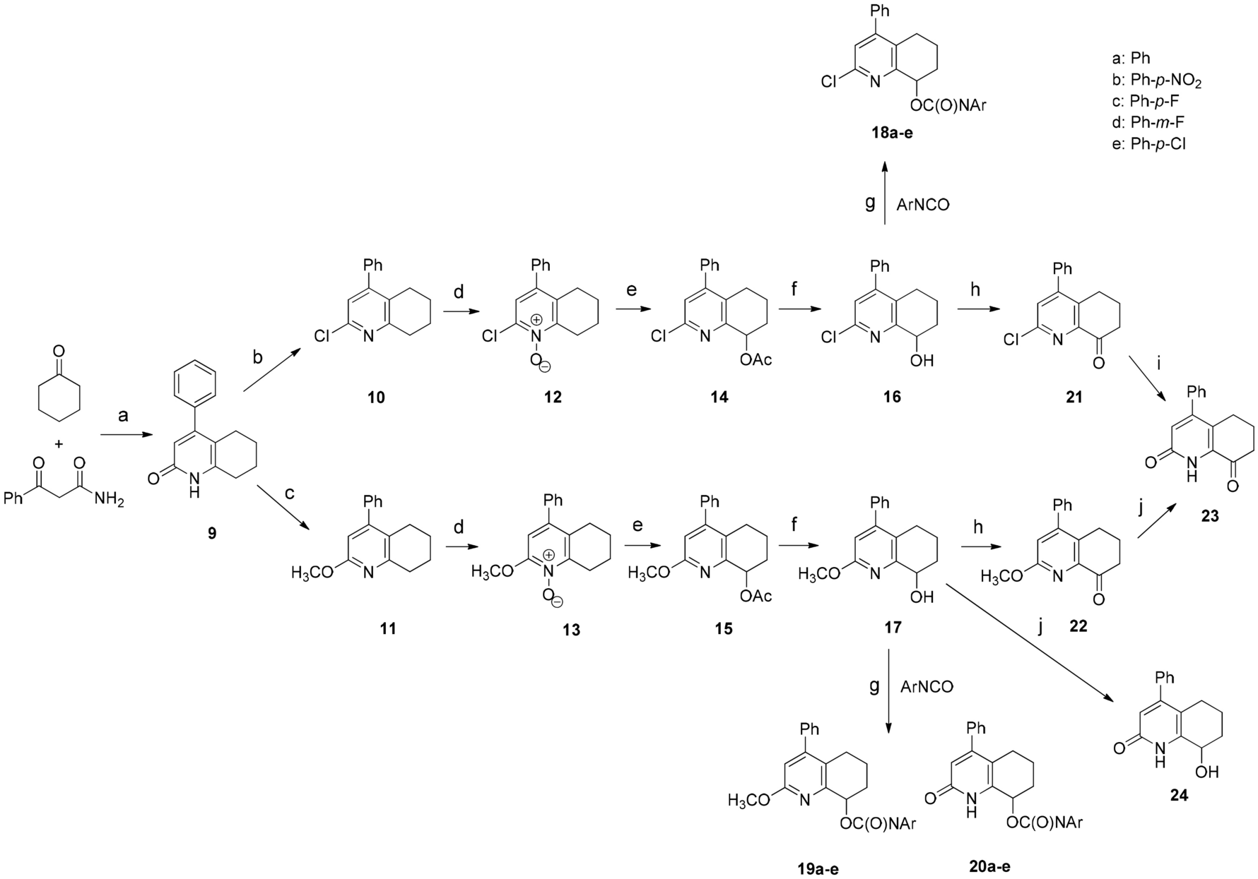
Scheme 1

The synthetic pathways during preparation of potential PI3K kinase inhibitors: (a) TsOH/toluene, reflux; (b) PhP(O)Cl2, 160 °C; (c) Ag2CO3,CH3I/CHCl3, RT; (d) 30% H2O2/AcOH, 80 °C; (e) Ac2O, RT to 100 °C, 5 h; (f) KOH/MeOH, RT; (g) TEA/DCM, RT; (h) DSMO, (COCl)2,TEA/DCM, Ar, − 78 °C to RT; (i) 12 M HCl aq., reflux; (j) NaI/AcOH, reflux;