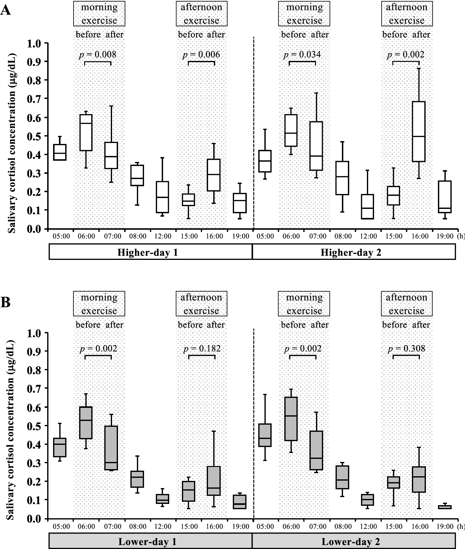
Figure 2

Changes in salivary cortisol concentrations in response to each exercise within the circadian rhythm on 2 consecutive days during the higher-altitude camp (A) and lower-altitude camp (B). The white box plots denote the cortisol concentration at the higher-altitude camp, whereas the gray box plots represent those at the lower-altitude camp. The gray dot squares denote the time of exercise at each camp. The significant differences between two time points of each exercise for runners were analyzed using the Wilcoxon signed-rank test. Higher-day 1, day 1 at the higher-altitude camp; Higher-day 2, day 2 at the higher-altitude camp; Lower-day 1, day 1 at the lower-altitude camp; Lower-day 2, day 2 at the lower-altitude camp.